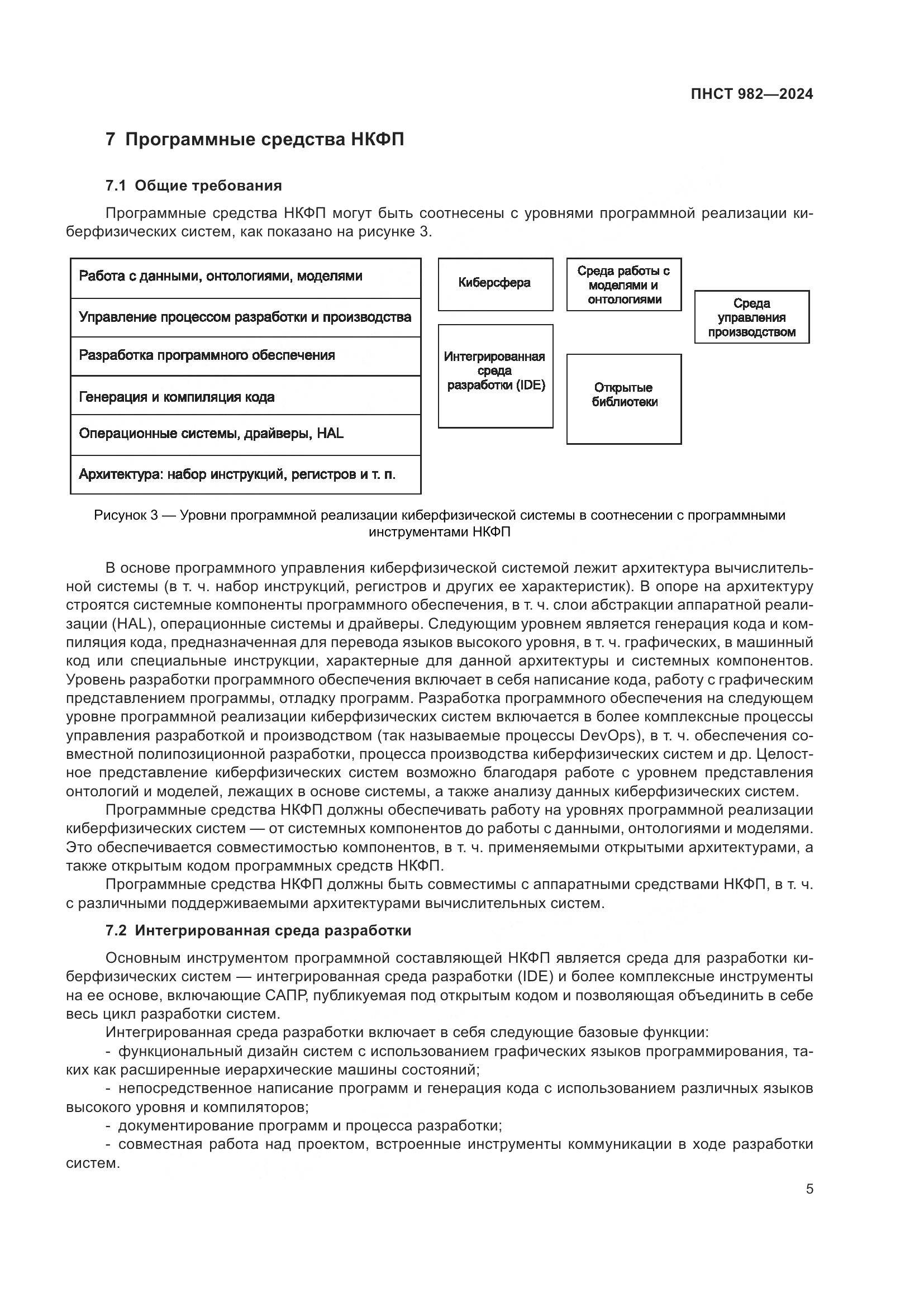
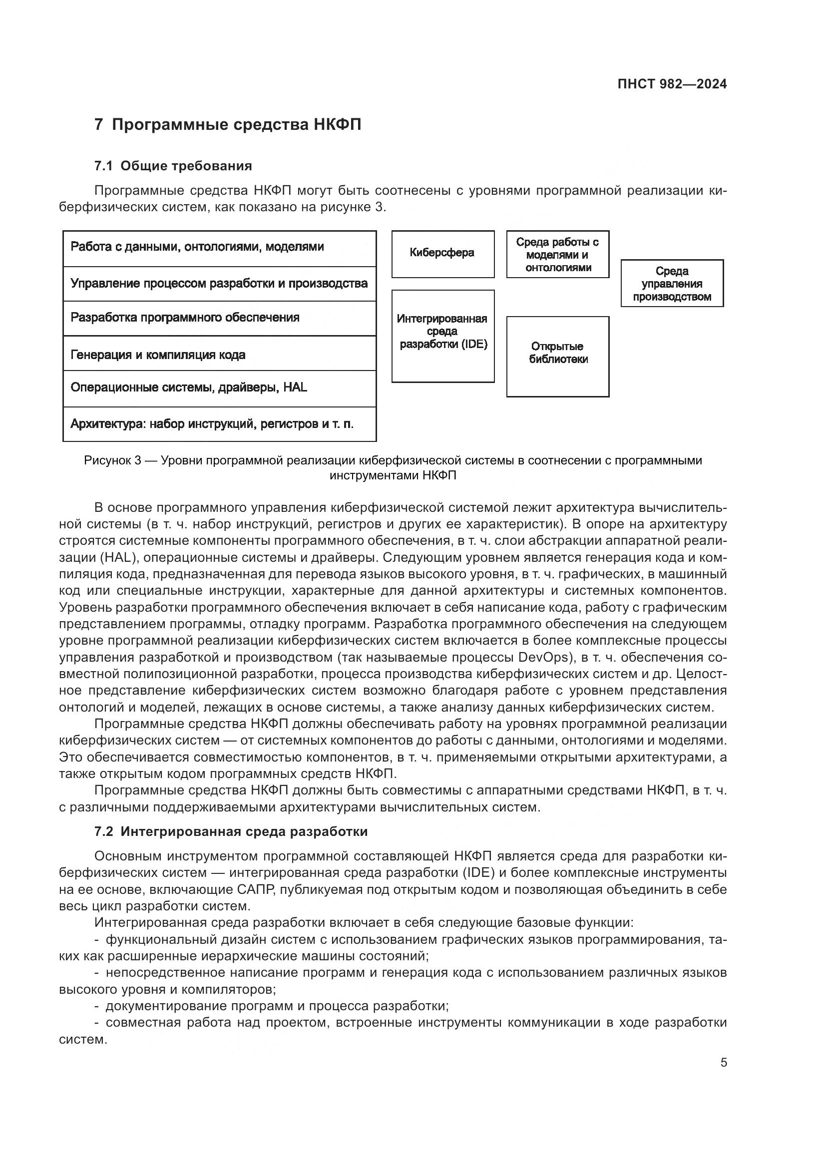
ПНСТ 982-2024 Системы киберфизические. Национальная киберфизическая платформа. Часть 1. Общие положения

Категории ПНСТ 982-2024 по ОКС:
Статус документа:
действует, введён в действие 01.02.2025
Название на английском языке:
Сyber-physical systems. National cyber-physical platform. General principles
Дата актуализации информации по стандарту:
27.08.2025, в 11:33 (менее 3 месяцев назад)
Вид стандарта:
временно не известен
Дата начала действия ГОСТа:
2025-02-01
Число страниц:
16
Назначение ПНСТ 982-2024:
не указано
Нормативные ссылки, связанные с ПНСТ 982-2024:

Скачать ПНСТ 982-2024 вы можете в следующих версиях:

В данный момент версий документа для скачивания не добавлено.

Мы стараемся пополнять базу документов еженедельно и из разных источников, в обозримом будущем версии для этого ГОСТа появятся.

Вы можете просмотреть online текст стандарта ПНСТ 982-2024

Просмотреть текст ПНСТ 982-2024

Текст стандарта

  • ПНСТ 982-2024, страница 1 страница 1
  • ПНСТ 982-2024, страница 2 страница 2
  • ПНСТ 982-2024, страница 3 страница 3
  • ПНСТ 982-2024, страница 4 страница 4
  • ПНСТ 982-2024, страница 5 страница 5
  • ПНСТ 982-2024, страница 6 страница 6
  • ПНСТ 982-2024, страница 7 страница 7
  • ПНСТ 982-2024, страница 8 страница 8
  • ПНСТ 982-2024, страница 9 страница 9
  • ПНСТ 982-2024, страница 10 страница 10
  • ПНСТ 982-2024, страница 11 страница 11
  • ПНСТ 982-2024, страница 12 страница 12
  • ПНСТ 982-2024, страница 13 страница 13
  • ПНСТ 982-2024, страница 14 страница 14
  • ПНСТ 982-2024, страница 15 страница 15
  • ПНСТ 982-2024, страница 16 страница 16