ГОСТ 9818-2015 Марши и площадки лестниц железобетонные. Технические условия

Категории ГОСТ 9818-2015 по ОКС:
Статус документа:
действует, введён в действие 01.01.2016
Название на английском языке:
Reinforced concrete flights of steps and stair landings. General specifications
Дата актуализации информации по стандарту:
22.01.2026, в 19:57 (менее месяца назад)
Вид стандарта:
Основополагающие стандарты
Дата начала действия ГОСТа:
2016-01-01
Дата последнего издания документа:
2015-12-27
Коды документа ГОСТ 9818-2015:
Код ОКП:
589120
Код КГС:
Ж33
Число страниц:
29
Назначение ГОСТ 9818-2015:
Настоящий стандарт устанавливает типы, основные параметры маршей и площадок лестниц, общие технические требования к ним, общие правила их приемки, методы контроля испытаний, маркировку, правила транспортирования и хранения. Настоящий стандарт распространяется на железобетонные марши, площадки и накладные проступи, изготовляемые из тяжелого бетона или легкого бетона (средней плотности от 1600 до 2000 кг/м куб. включительно) и предназначенные для устройства лестниц в зданиях различного назначения. Элементы лестниц, предназначенные для эксплуатации в среде с агрессивной степенью воздействия на железобетонные конструкции, должны удовлетворять требованиям настоящего стандарта и дополнительным указаниям проектной документации на здание, установленным с учетом действующих нормативных документов и технической документации
Документ принят орг-ей:
Межгосударственный Совет по стандартизации метрологии и сертификации, протокол №77-П
Ключевые слова документа:
марши и площадки, методы контроля, накладная проступь, полуплощадка, приемка, ребристая площадка, ступень, технические требования, транспортирование и хранение, элементы лестниц
Ссылки на прочие:
СП 28.13330.2012

Скачать ГОСТ 9818-2015 вы можете в следующих версиях:

Тип файла:
Дата добавления:
Загрузок:
Размер:
Тип файла:
PDF с изображениями
Добавлен:
20/11/2025 15:39
Скачиваний:
34
Размер файла:
1.82 Мб

Поправки и изменения к ГОСТ 9818-2015:

  • Наименование, вид:
    Дата
    регистрации:
    начала действия:
  • Поправка к ГОСТ 9818-2015

    Тип изменения: Поправка
    Номер изменения:
    Регистрационный номер: -

    2025-11-14
    2025-11-14
  • ГОСТ 9818-2015, страница 1 страница 1
  • ГОСТ 9818-2015, страница 2 страница 2
  • ГОСТ 9818-2015, страница 3 страница 3
  • ГОСТ 9818-2015, страница 4 страница 4
  • ГОСТ 9818-2015, страница 5 страница 5
  • ГОСТ 9818-2015, страница 6 страница 6
  • ГОСТ 9818-2015, страница 7 страница 7
  • ГОСТ 9818-2015, страница 8 страница 8
  • ГОСТ 9818-2015, страница 9 страница 9
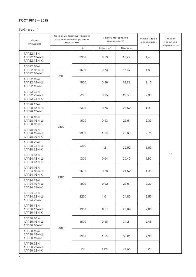
  • ГОСТ 9818-2015, страница 10 страница 10
  • ГОСТ 9818-2015, страница 11 страница 11
  • ГОСТ 9818-2015, страница 12 страница 12
  • ГОСТ 9818-2015, страница 13 страница 13
  • ГОСТ 9818-2015, страница 14 страница 14
  • ГОСТ 9818-2015, страница 15 страница 15
  • ГОСТ 9818-2015, страница 16 страница 16
  • ГОСТ 9818-2015, страница 17 страница 17
  • ГОСТ 9818-2015, страница 18 страница 18
  • ГОСТ 9818-2015, страница 19 страница 19
  • ГОСТ 9818-2015, страница 20 страница 20
  • ГОСТ 9818-2015, страница 21 страница 21
  • ГОСТ 9818-2015, страница 22 страница 22
  • ГОСТ 9818-2015, страница 23 страница 23
  • ГОСТ 9818-2015, страница 24 страница 24
  • ГОСТ 9818-2015, страница 25 страница 25
  • ГОСТ 9818-2015, страница 26 страница 26
  • ГОСТ 9818-2015, страница 27 страница 27
  • ГОСТ 9818-2015, страница 28 страница 28