ГОСТ 9286-2012 Пентаэритрит технический. Технические условия

Категории ГОСТ 9286-2012 по ОКС:
Статус документа:
действует, введён в действие 01.08.2013
Название на английском языке:
Technical pentaerythritol. Specifications
Дата актуализации информации по стандарту:
30.07.2025, в 17:24 (менее полугода назад)
Вид стандарта:
Стандарты на продукцию (услуги)
Дата начала действия ГОСТа:
2013-08-01
Дата последнего издания документа:
2019-05-20
Коды документа ГОСТ 9286-2012:
Код ОКП:
242240
Код КГС:
Л21
Число страниц:
26
Назначение ГОСТ 9286-2012:
Настоящий стандарт распространяется на технический пентаэритрит (2,2-бис(гидроксиметил) пропан-1,3-диол), предназначенный для применения в производстве лакокрасочной продукции, полиграфических красок, смазочных масел, пентапласта, для нитрации и других целей
Документ разработан орг-ей:
Федеральное агентство по техническому регулированию и метрологии (Росстандарт)
Документ принят орг-ей:
Межгосударственный Совет по стандартизации метрологии и сертификации, протокол №54-П
Ключевые слова документа:
безопасность, марки, маркировка, пентаэритрит, применение, технические требования, транспортирование, упаковка, хранение

Скачать ГОСТ 9286-2012 вы можете в следующих версиях:

Тип файла:
Дата добавления:
Загрузок:
Размер:
Тип файла:
PDF с изображениями
Добавлен:
23/01/2016 18:30
Скачиваний:
3
Размер файла:
0.94 Мб

Поправки и изменения к ГОСТ 9286-2012:

  • Наименование, вид:
    Дата
    регистрации:
    начала действия:
  • Изменение №1 к ГОСТ 9286-2012

    Тип изменения: Текстовое изменение; Изменены ссылочные НД
    Номер изменения: 1
    Регистрационный номер: 1141-ст
    Новое значение: Заменяется: ГОСТ 12.3.002-75 на ГОСТ 12.3.002-2014,ГОСТ 12.4.121-83 на ГОСТ 12.4.121-2015,ГОСТ 12.4.137-84 на ГОСТ 12.4.137-2001,ГОСТ 2226-88 на ГОСТ 2226-2013,ГОСТ 4517-87 на ГОСТ 4517-2016 Вводится: ГОСТ 12.4.280-2014,ГОСТ 12.4.296-2015,ГОСТ 21039-75 Отменяется: ГОСТ 27574-87,ГОСТ 27575-87,ГОСТ Р 53361-2009

    2018-12-25
    2019-04-01
  • Поправка к ГОСТ 9286-2012

    Тип изменения: Поправка
    Номер изменения:
    Регистрационный номер: -

    2024-03-13
    2024-03-13
  • ГОСТ 9286-2012, страница 1 страница 1
  • ГОСТ 9286-2012, страница 2 страница 2
  • ГОСТ 9286-2012, страница 3 страница 3
  • ГОСТ 9286-2012, страница 4 страница 4
  • ГОСТ 9286-2012, страница 5 страница 5
  • ГОСТ 9286-2012, страница 6 страница 6
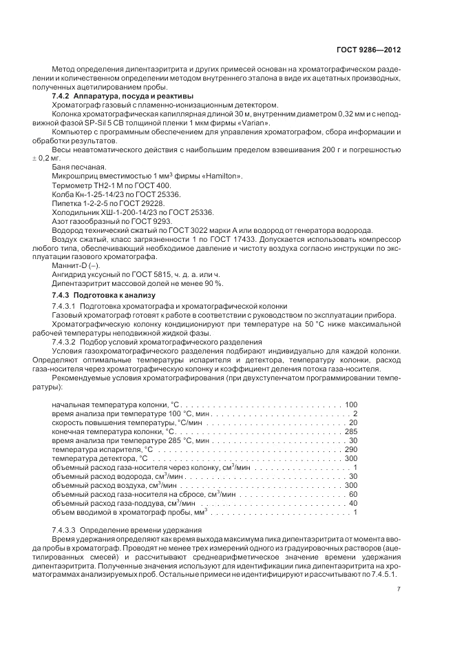
  • ГОСТ 9286-2012, страница 7 страница 7
  • ГОСТ 9286-2012, страница 8 страница 8
  • ГОСТ 9286-2012, страница 9 страница 9
  • ГОСТ 9286-2012, страница 10 страница 10
  • ГОСТ 9286-2012, страница 11 страница 11
  • ГОСТ 9286-2012, страница 12 страница 12
  • ГОСТ 9286-2012, страница 13 страница 13
  • ГОСТ 9286-2012, страница 14 страница 14
  • ГОСТ 9286-2012, страница 15 страница 15
  • ГОСТ 9286-2012, страница 16 страница 16
  • ГОСТ 9286-2012, страница 17 страница 17
  • ГОСТ 9286-2012, страница 18 страница 18
  • ГОСТ 9286-2012, страница 19 страница 19
  • ГОСТ 9286-2012, страница 20 страница 20