ГОСТ Р 8.948-2018 Государственная система обеспечения единства измерений. Стандартные справочные данные. Изобутан жидкий и газообразный. Термодинамические свойства, коэффициенты динамической вязкости и теплопроводности при температурах от 114 К до 600 К и давлениях до 35 МПа

Категории ГОСТ Р 8.948-2018 по ОКС:
Статус документа:
действует, введён в действие 01.03.2019
Название на английском языке:
State system for ensuring the uniformity of measurements. Standard reference data. Liquid and gaseous isobutane. Thermodynamic properties, dynamic viscosity and thermal conductivity at temperatures from 114 К up to 600 K and pressures up to 35 MPa
Дата актуализации информации по стандарту:
19.06.2025, в 21:00 (менее полугода назад)
Вид стандарта:
Основополагающие стандарты
Дата начала действия ГОСТа:
2019-03-01
Дата последнего издания документа:
2018-12-27
Число страниц:
20
Назначение ГОСТ Р 8.948-2018:
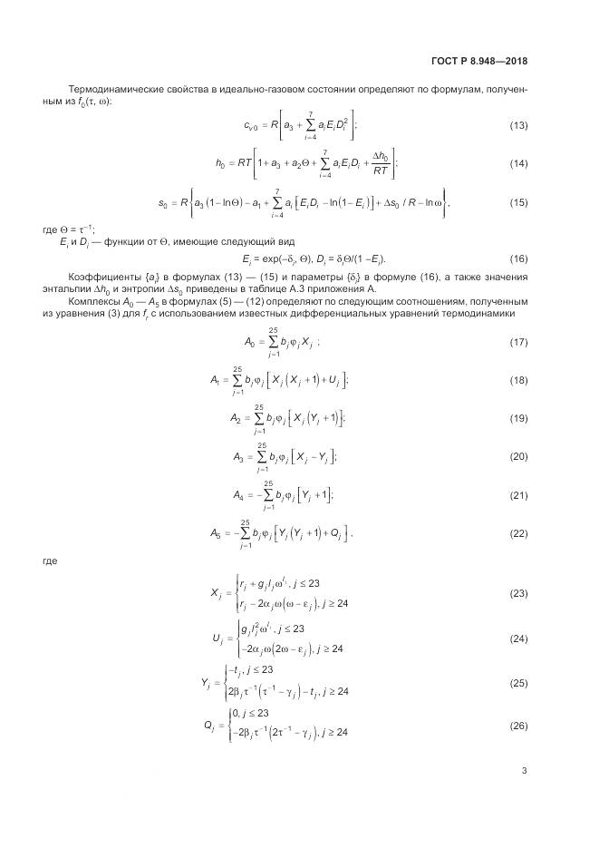
Настоящий стандарт распространяется на жидкий и газообразный изобутан и устанавливает методы расчетного определения значений стандартных справочных данных по плотности, энтальпии h, энтропии s, изобарной теплоемкости cp, изохорной теплоемкости cv, скорости звука w, коэффициента динамической вязкости м и коэффициента теплопроводности для изобутана как в однофазных областях (газ, жидкость и флюид), так и на линии фазового перехода газ - жидкость (линии насыщения), а также значений давления насыщения ps
Ключевые слова документа:
государственная система обеспечения единства измерений, жидкий и газообразный изобутан, коэффициенты динамической вязкости и теплопроводности, стандартные справочные данные, термодинамические свойства
Нормативные ссылки, связанные с ГОСТ Р 8.948-2018:

Скачать ГОСТ Р 8.948-2018 вы можете в следующих версиях:

В данный момент версий документа для скачивания не добавлено.

Мы стараемся пополнять базу документов еженедельно и из разных источников, в обозримом будущем версии для этого ГОСТа появятся.

Вы можете просмотреть online текст стандарта ГОСТ Р 8.948-2018

Просмотреть текст ГОСТ Р 8.948-2018

Текст стандарта

  • ГОСТ Р 8.948-2018, страница 1 страница 1
  • ГОСТ Р 8.948-2018, страница 2 страница 2
  • ГОСТ Р 8.948-2018, страница 3 страница 3
  • ГОСТ Р 8.948-2018, страница 4 страница 4
  • ГОСТ Р 8.948-2018, страница 5 страница 5
  • ГОСТ Р 8.948-2018, страница 6 страница 6
  • ГОСТ Р 8.948-2018, страница 7 страница 7
  • ГОСТ Р 8.948-2018, страница 8 страница 8
  • ГОСТ Р 8.948-2018, страница 9 страница 9
  • ГОСТ Р 8.948-2018, страница 10 страница 10
  • ГОСТ Р 8.948-2018, страница 11 страница 11
  • ГОСТ Р 8.948-2018, страница 12 страница 12
  • ГОСТ Р 8.948-2018, страница 13 страница 13
  • ГОСТ Р 8.948-2018, страница 14 страница 14
  • ГОСТ Р 8.948-2018, страница 15 страница 15
  • ГОСТ Р 8.948-2018, страница 16 страница 16
  • ГОСТ Р 8.948-2018, страница 17 страница 17
  • ГОСТ Р 8.948-2018, страница 18 страница 18
  • ГОСТ Р 8.948-2018, страница 19 страница 19
  • ГОСТ Р 8.948-2018, страница 20 страница 20