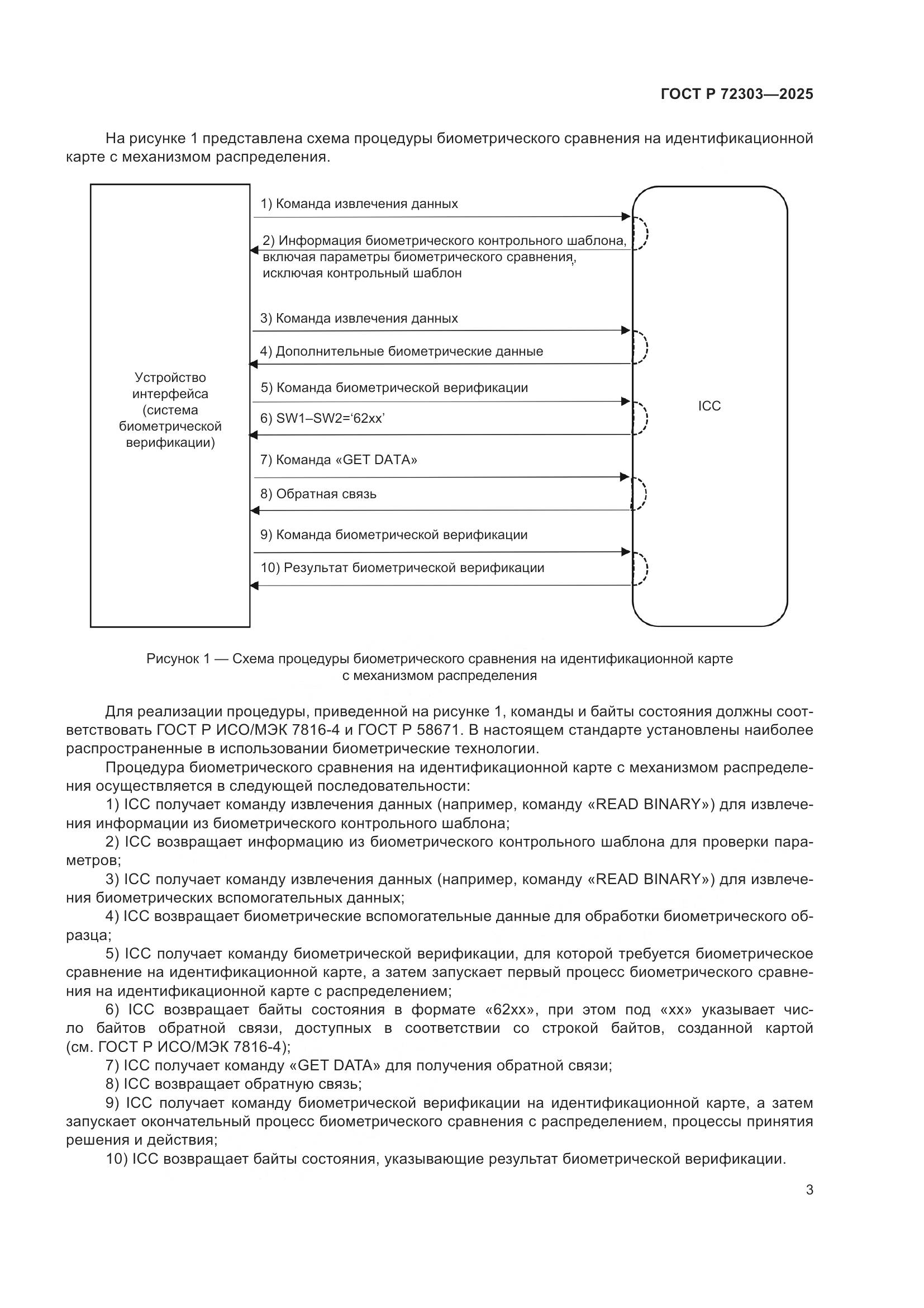
ГОСТ Р 72303-2025
ГОСТ Р 72303-2025 Информационные технологии. Биометрия. Биометрическое сравнение на идентификационной карте. Механизм распределения
Категории ГОСТ Р 72303-2025 по ОКС:- 35. Информационные технологии. Машины конторские.
- 35.240. Применение информационных технологий.
- 35.240.15 Идентификационные карточки и связанные с ними устройства *включая применение карточек в банковском деле, торговле, телекоммуникации, на транспорте и т.д.
- Статус документа:
- принят, введён в действие 01.01.2026
- Название на английском языке:
- Information technology. Biometrics. On-card biometric comparison. Work-sharing mechanism
- Дата актуализации информации по стандарту:
- 16.12.2025, в 11:00 (менее 3 месяцев назад)
- Вид стандарта:
- временно не известен
- Дата начала действия ГОСТа:
- 2026-01-01
- Число страниц:
- 8
- Назначение ГОСТ Р 72303-2025:
- не указано
Нормативные ссылки, связанные с ГОСТ Р 72303-2025:
- Стандарт ссылается на ГОСТы:
- ГОСТ 16299-78
Скачать ГОСТ Р 72303-2025 вы можете в следующих версиях:
Тип файла:
Дата добавления:
Загрузок:
Размер:
Ссылка на скачивание:
Добавлен:
16/12/2025 16:02
Скачиваний:
17
Размер файла:
1.67 Мб
Ссылка для скачивания:
-
страница 1
-
страница 2
-
страница 3
-
страница 4
-
страница 5
-
страница 6
-
страница 7
-
страница 8