ГОСТ Р 72237-2025 Автотранспортные средства. Телематические системы с функцией дистанционного контроля и регулирования скорости. Технические требования и методы испытаний

Категории ГОСТ Р 72237-2025 по ОКС:
Статус документа:
принят, введён в действие 01.05.2026
Название на английском языке:
Motor vehicles. Telematics system with a function for remote speed monitoring and control. Technical requirements and test methods
Дата актуализации информации по стандарту:
17.10.2025, в 18:49 (менее 3 месяцев назад)
Вид стандарта:
временно не известен
Дата начала действия ГОСТа:
2026-05-01
Число страниц:
20
Назначение ГОСТ Р 72237-2025:
не указано

Скачать ГОСТ Р 72237-2025 вы можете в следующих версиях:

Тип файла:
Дата добавления:
Загрузок:
Размер:
Тип файла:
PDF с изображениями
Добавлен:
21/11/2025 10:24
Скачиваний:
8
Размер файла:
6.35 Мб
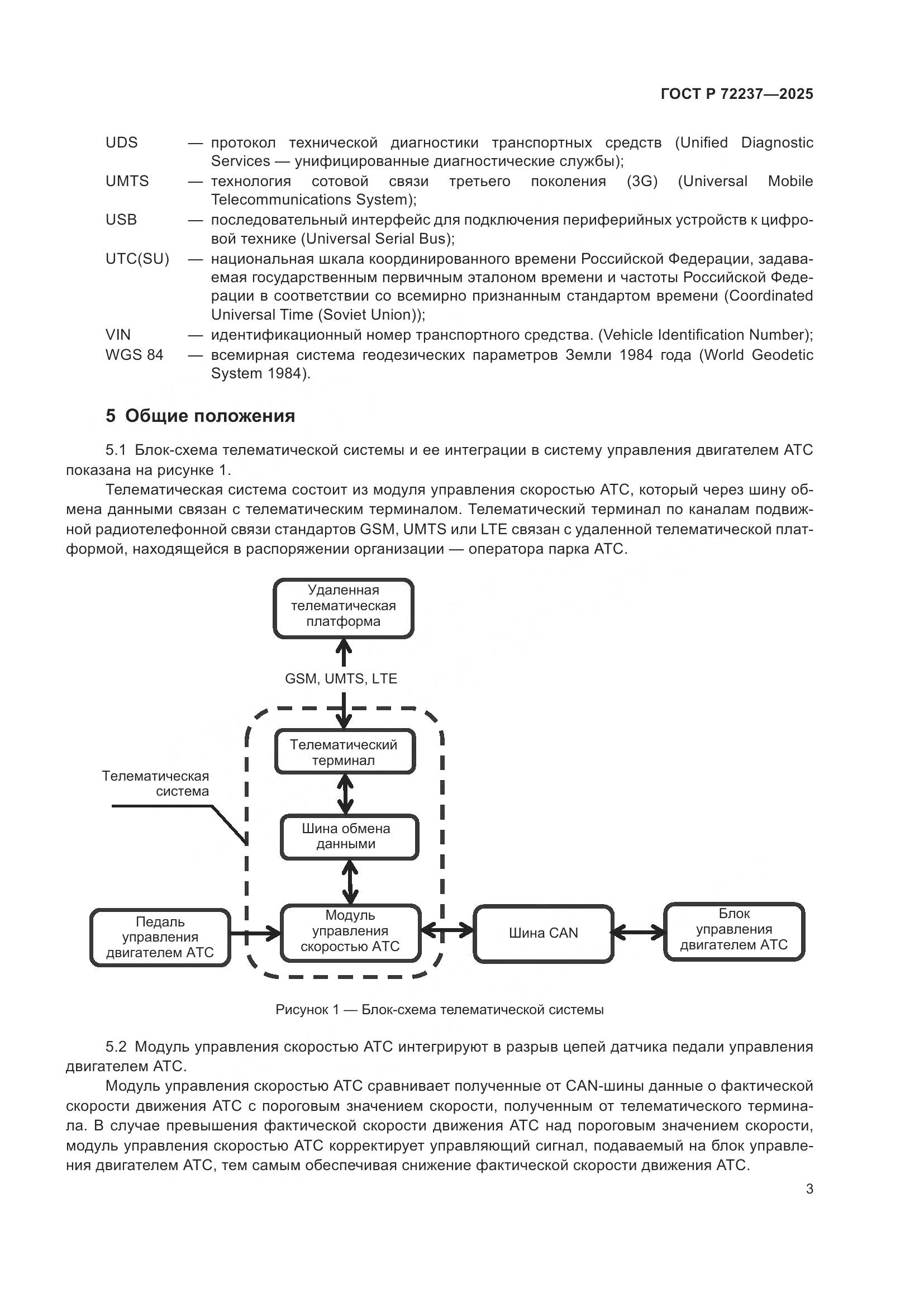
  • ГОСТ Р 72237-2025, страница 1 страница 1
  • ГОСТ Р 72237-2025, страница 2 страница 2
  • ГОСТ Р 72237-2025, страница 3 страница 3
  • ГОСТ Р 72237-2025, страница 4 страница 4
  • ГОСТ Р 72237-2025, страница 5 страница 5
  • ГОСТ Р 72237-2025, страница 6 страница 6
  • ГОСТ Р 72237-2025, страница 7 страница 7
  • ГОСТ Р 72237-2025, страница 8 страница 8
  • ГОСТ Р 72237-2025, страница 9 страница 9
  • ГОСТ Р 72237-2025, страница 10 страница 10
  • ГОСТ Р 72237-2025, страница 11 страница 11
  • ГОСТ Р 72237-2025, страница 12 страница 12
  • ГОСТ Р 72237-2025, страница 13 страница 13
  • ГОСТ Р 72237-2025, страница 14 страница 14
  • ГОСТ Р 72237-2025, страница 15 страница 15
  • ГОСТ Р 72237-2025, страница 16 страница 16
  • ГОСТ Р 72237-2025, страница 17 страница 17
  • ГОСТ Р 72237-2025, страница 18 страница 18
  • ГОСТ Р 72237-2025, страница 19 страница 19
  • ГОСТ Р 72237-2025, страница 20 страница 20