ГОСТ Р 71294-2024
ГОСТ Р 71294-2024 Ферриты сверхвысокочастотного диапазона и изделия из них. Метод измерения намагниченности насыщения
Категории ГОСТ Р 71294-2024 по ОКС:- 29. Электротехника.
- 29.100. Компоненты электрооборудования *электронные компоненты см. 31
- 29.100.10 Магнитные компоненты
- Статус документа:
- действует, введён в действие 01.03.2025
- Название на английском языке:
- Microwave ferrite devices and products made of them. Method of measuring saturation magnetization
- Дата актуализации информации по стандарту:
- 25.08.2025, в 13:06 (менее 3 месяцев назад)
- Вид стандарта:
- временно не известен
- Дата начала действия ГОСТа:
- 2025-03-01
- Число страниц:
- 12
- Назначение ГОСТ Р 71294-2024:
- не указано
Нормативные ссылки, связанные с ГОСТ Р 71294-2024:
- Стандарт ссылается на ГОСТы:
- ГОСТ 12.2.111-85
Скачать ГОСТ Р 71294-2024 вы можете в следующих версиях:
В данный момент версий документа для скачивания не добавлено.
Мы стараемся пополнять базу документов еженедельно и из разных источников, в обозримом будущем версии для этого ГОСТа появятся.
Вы можете просмотреть online текст стандарта ГОСТ Р 71294-2024
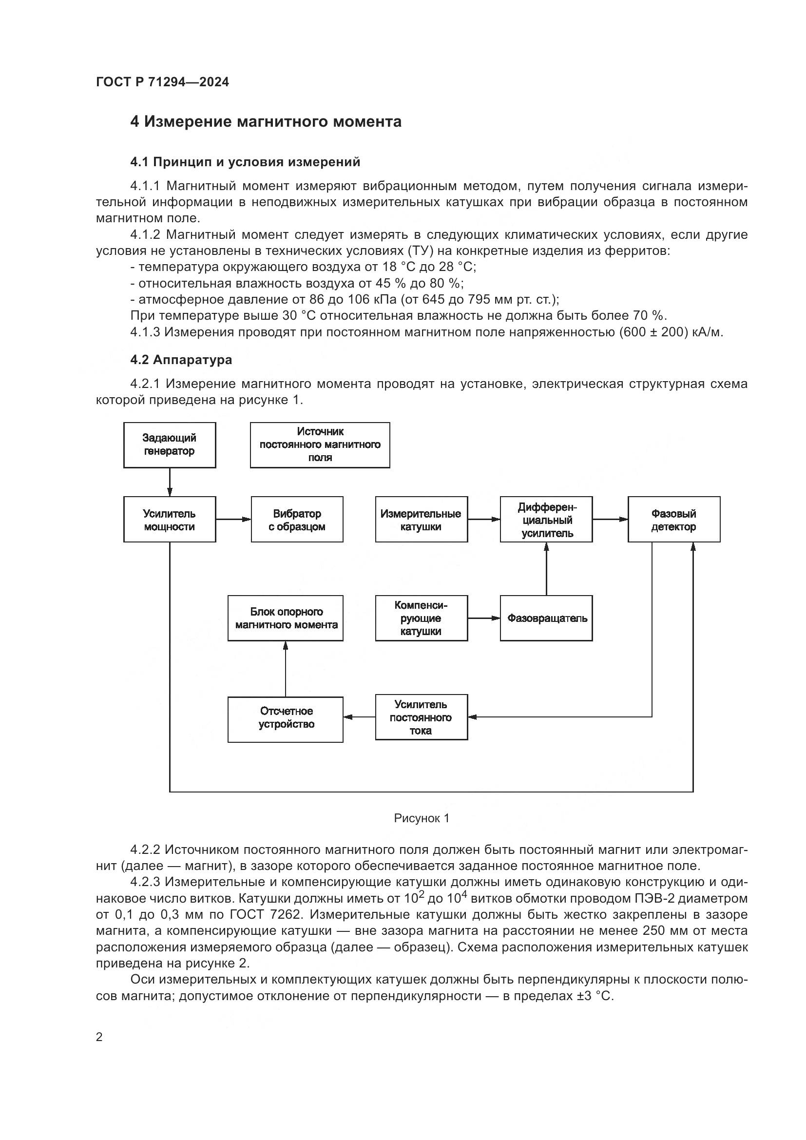
Просмотреть текст ГОСТ Р 71294-2024Текст стандарта
-
страница 1
-
страница 2
-
страница 3
-
страница 4
-
страница 5
-
страница 6
-
страница 7
-
страница 8
-
страница 9
-
страница 10
-
страница 11
-
страница 12