ГОСТ Р 70701-2023 Гидроприводы объемные, пневмоприводы и смазочные системы. Номинальные давления

Категории ГОСТ Р 70701-2023 по ОКС:
Статус документа:
действует, введён в действие 30.04.2023
Название на английском языке:
Hydraulic and pneumatic drives and lubricating systems. Normal pressure
Дата актуализации информации по стандарту:
19.08.2025, в 08:48 (менее 3 месяцев назад)
Вид стандарта:
временно не известен
Дата начала действия ГОСТа:
2023-04-30
Число страниц:
8
Назначение ГОСТ Р 70701-2023:
не указано
Нормативные ссылки, связанные с ГОСТ Р 70701-2023:

Скачать ГОСТ Р 70701-2023 вы можете в следующих версиях:

В данный момент версий документа для скачивания не добавлено.

Мы стараемся пополнять базу документов еженедельно и из разных источников, в обозримом будущем версии для этого ГОСТа появятся.

Вы можете просмотреть online текст стандарта ГОСТ Р 70701-2023

Просмотреть текст ГОСТ Р 70701-2023

Текст стандарта

  • ГОСТ Р 70701-2023, страница 1 страница 1
  • ГОСТ Р 70701-2023, страница 2 страница 2
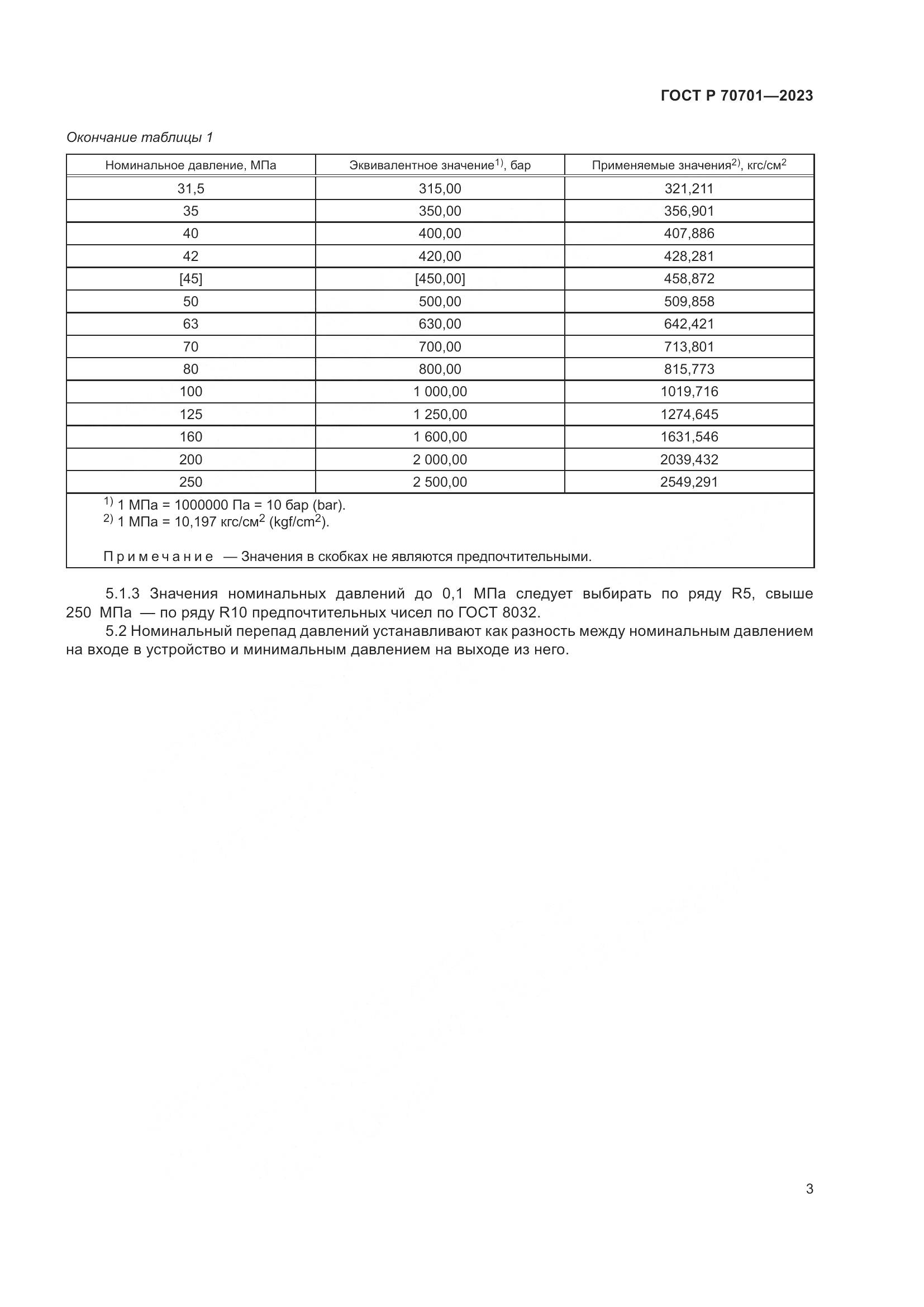
  • ГОСТ Р 70701-2023, страница 3 страница 3
  • ГОСТ Р 70701-2023, страница 4 страница 4
  • ГОСТ Р 70701-2023, страница 5 страница 5
  • ГОСТ Р 70701-2023, страница 6 страница 6
  • ГОСТ Р 70701-2023, страница 7 страница 7
  • ГОСТ Р 70701-2023, страница 8 страница 8