ГОСТ 6286-2017 Рукава резиновые высокого давления с металлическими оплетками без концевой арматуры. Технические условия

Категории ГОСТ 6286-2017 по ОКС:
Статус документа:
действует, введён в действие 01.07.2018
Название на английском языке:
High-pressure rubber hoses with metal braids without end fittings. Specifications
Дата актуализации информации по стандарту:
30.10.2025, в 09:48 (менее 3 месяцев назад)
Вид стандарта:
Стандарты на продукцию (услуги)
Дата начала действия ГОСТа:
2018-07-01
Дата последнего издания документа:
2017-06-28
Число страниц:
22
Назначение ГОСТ 6286-2017:
Настоящий стандарт распространяется на резиновые рукава высокого давления оплеточной конструкции с металлическими оплетками без концевой арматуры (далее – рукава), применяемые в качестве гибких трубопроводов для подачи под высоким давлением жидкостей и работоспособные в районах с умеренным и тропическим климатом при температуре окружающего воздуха от минус 50 °С до плюс 70 °С, а также в районах с холодным климатом при температуре от минус 60 °С до плюс 70 °С
Документ разработан орг-ей:
Федеральное агентство по техническому регулированию и метрологии (Росстандарт)
Документ принят орг-ей:
Межгосударственный Совет по стандартизации метрологии и сертификации, протокол №95-П
Ключевые слова документа:
резиновые рукава высокого давления с металлическими оплетками без концевой арматуры, технические условия

Скачать ГОСТ 6286-2017 вы можете в следующих версиях:

Тип файла:
Дата добавления:
Загрузок:
Размер:
Тип файла:
PDF с изображениями
Добавлен:
20/11/2025 14:34
Скачиваний:
8
Размер файла:
6.04 Мб

Поправки и изменения к ГОСТ 6286-2017:

  • Наименование, вид:
    Дата
    регистрации:
    начала действия:
  • Поправка к ГОСТ 6286-2017

    Тип изменения: Поправка
    Номер изменения:
    Регистрационный номер: -

    2022-11-02
    2022-11-09
  • ГОСТ 6286-2017, страница 1 страница 1
  • ГОСТ 6286-2017, страница 2 страница 2
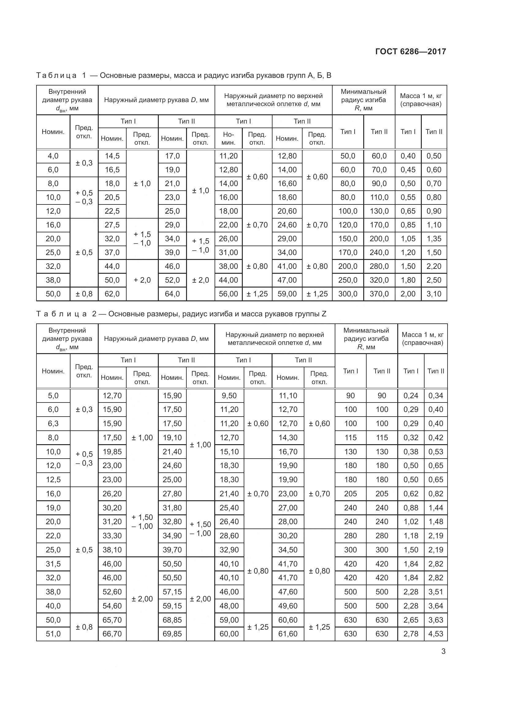
  • ГОСТ 6286-2017, страница 3 страница 3
  • ГОСТ 6286-2017, страница 4 страница 4
  • ГОСТ 6286-2017, страница 5 страница 5
  • ГОСТ 6286-2017, страница 6 страница 6
  • ГОСТ 6286-2017, страница 7 страница 7
  • ГОСТ 6286-2017, страница 8 страница 8
  • ГОСТ 6286-2017, страница 9 страница 9
  • ГОСТ 6286-2017, страница 10 страница 10
  • ГОСТ 6286-2017, страница 11 страница 11
  • ГОСТ 6286-2017, страница 12 страница 12
  • ГОСТ 6286-2017, страница 13 страница 13
  • ГОСТ 6286-2017, страница 14 страница 14
  • ГОСТ 6286-2017, страница 15 страница 15
  • ГОСТ 6286-2017, страница 16 страница 16
  • ГОСТ 6286-2017, страница 17 страница 17
  • ГОСТ 6286-2017, страница 18 страница 18
  • ГОСТ 6286-2017, страница 19 страница 19
  • ГОСТ 6286-2017, страница 20 страница 20
  • ГОСТ 6286-2017, страница 21 страница 21
  • ГОСТ 6286-2017, страница 22 страница 22