ГОСТ Р 58043-2017 Проектирование и освоение газовых, газоконденсатных, нефтегазовых и нефтегазоконденсатных месторождений. Движение геолого-технологической информации. Общие требования

Категории ГОСТ Р 58043-2017 по ОКС:
Статус документа:
действует, введён в действие 01.08.2018
Название на английском языке:
Designing and development of gas, gas condensate, oil and gas, oil and gas condensate deposits. Geological and technological data transfer. General requirements
Дата актуализации информации по стандарту:
11.08.2025, в 13:30 (менее 3 месяцев назад)
Вид стандарта:
временно не известен
Дата начала действия ГОСТа:
2018-08-01
Число страниц:
20
Назначение ГОСТ Р 58043-2017:
не указано
Нормативные ссылки, связанные с ГОСТ Р 58043-2017:

Скачать ГОСТ Р 58043-2017 вы можете в следующих версиях:

В данный момент версий документа для скачивания не добавлено.

Мы стараемся пополнять базу документов еженедельно и из разных источников, в обозримом будущем версии для этого ГОСТа появятся.

Вы можете просмотреть online текст стандарта ГОСТ Р 58043-2017

Просмотреть текст ГОСТ Р 58043-2017

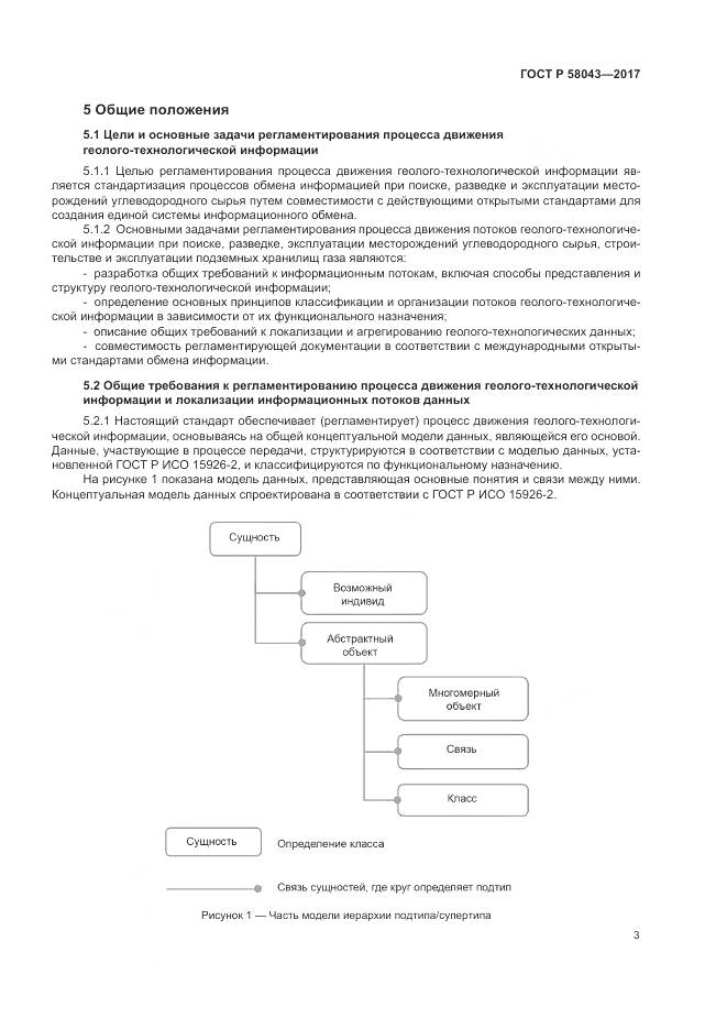
Текст стандарта

  • ГОСТ Р 58043-2017, страница 1 страница 1
  • ГОСТ Р 58043-2017, страница 2 страница 2
  • ГОСТ Р 58043-2017, страница 3 страница 3
  • ГОСТ Р 58043-2017, страница 4 страница 4
  • ГОСТ Р 58043-2017, страница 5 страница 5
  • ГОСТ Р 58043-2017, страница 6 страница 6
  • ГОСТ Р 58043-2017, страница 7 страница 7
  • ГОСТ Р 58043-2017, страница 8 страница 8
  • ГОСТ Р 58043-2017, страница 9 страница 9
  • ГОСТ Р 58043-2017, страница 10 страница 10
  • ГОСТ Р 58043-2017, страница 11 страница 11
  • ГОСТ Р 58043-2017, страница 12 страница 12
  • ГОСТ Р 58043-2017, страница 13 страница 13
  • ГОСТ Р 58043-2017, страница 14 страница 14
  • ГОСТ Р 58043-2017, страница 15 страница 15
  • ГОСТ Р 58043-2017, страница 16 страница 16
  • ГОСТ Р 58043-2017, страница 17 страница 17
  • ГОСТ Р 58043-2017, страница 18 страница 18
  • ГОСТ Р 58043-2017, страница 19 страница 19
  • ГОСТ Р 58043-2017, страница 20 страница 20