ГОСТ 5668-2022 Изделия хлебобулочные. Методы определения массовой доли жира

Категории ГОСТ 5668-2022 по ОКС:
Статус документа:
действует, введён в действие 01.07.2023
Название на английском языке:
Bakery products. Methods for determination of fat content
Дата актуализации информации по стандарту:
22.12.2025, в 08:56 (менее 3 месяцев назад)
Вид стандарта:
временно не известен
Дата начала действия ГОСТа:
2023-07-01
Дата последнего издания документа:
2022-07-07
Число страниц:
28
Назначение ГОСТ 5668-2022:
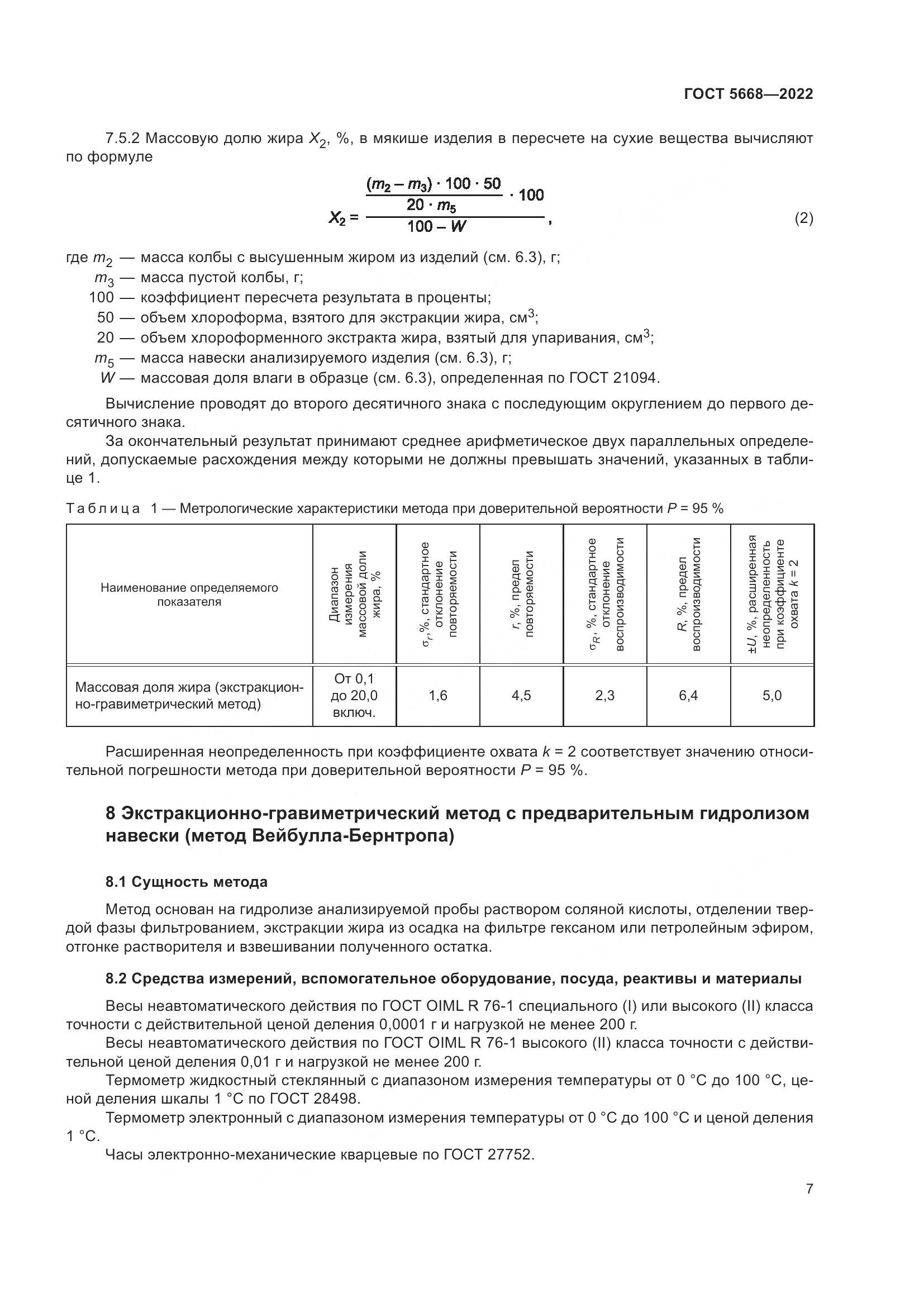
Настоящий стандарт распространяется на хлебобулочные изделия, в том числе специализированные, и устанавливает экстракционно-гравиметрические, рефрактометрический, бутирометрический методы и метод спектрометрии в ближней инфракрасной области (БИК-метод) определения массовой доли жира. В случае возникновения разногласий применяют экстракционно-гравиметрический метод с предварительным гидролизом навески
Документ принят орг-ей:
Межгосударственный Совет по стандартизации метрологии и сертификации, протокол №152-П
Ключевые слова документа:
, БИК-метод, бутирометрический метод, методы определения массовой доли жира, показатель преломления, растворитель, рефрактометрический метод, хлебобулочные изделия, центрифугирование, экстракционно-гравиметрический метод

Скачать ГОСТ 5668-2022 вы можете в следующих версиях:

Тип файла:
Дата добавления:
Загрузок:
Размер:
Тип файла:
PDF с изображениями
Добавлен:
27/11/2025 11:07
Скачиваний:
25
Размер файла:
8.25 Мб
  • ГОСТ 5668-2022, страница 1 страница 1
  • ГОСТ 5668-2022, страница 2 страница 2
  • ГОСТ 5668-2022, страница 3 страница 3
  • ГОСТ 5668-2022, страница 4 страница 4
  • ГОСТ 5668-2022, страница 5 страница 5
  • ГОСТ 5668-2022, страница 6 страница 6
  • ГОСТ 5668-2022, страница 7 страница 7
  • ГОСТ 5668-2022, страница 8 страница 8
  • ГОСТ 5668-2022, страница 9 страница 9
  • ГОСТ 5668-2022, страница 10 страница 10
  • ГОСТ 5668-2022, страница 11 страница 11
  • ГОСТ 5668-2022, страница 12 страница 12
  • ГОСТ 5668-2022, страница 13 страница 13
  • ГОСТ 5668-2022, страница 14 страница 14
  • ГОСТ 5668-2022, страница 15 страница 15
  • ГОСТ 5668-2022, страница 16 страница 16
  • ГОСТ 5668-2022, страница 17 страница 17
  • ГОСТ 5668-2022, страница 18 страница 18
  • ГОСТ 5668-2022, страница 19 страница 19
  • ГОСТ 5668-2022, страница 20 страница 20
  • ГОСТ 5668-2022, страница 21 страница 21
  • ГОСТ 5668-2022, страница 22 страница 22
  • ГОСТ 5668-2022, страница 23 страница 23
  • ГОСТ 5668-2022, страница 24 страница 24
  • ГОСТ 5668-2022, страница 25 страница 25
  • ГОСТ 5668-2022, страница 26 страница 26
  • ГОСТ 5668-2022, страница 27 страница 27
  • ГОСТ 5668-2022, страница 28 страница 28