ГОСТ Р 55932-2013 Интегрированная логистическая поддержка экспортируемой продукции военного назначения. Эксплуатационная и ремонтная документация. Требования к поставке и внесению изменений

Категории ГОСТ Р 55932-2013 по ОКС:
Статус документа:
действует, введён в действие 01.09.2014
Название на английском языке:
Integrated logistic support of exporting military products. Maintenance and repair documents. Requirements for delivery and modification
Дата актуализации информации по стандарту:
11.08.2025, в 13:28 (менее 3 месяцев назад)
Вид стандарта:
временно не известен
Дата начала действия ГОСТа:
2014-09-01
Число страниц:
12
Назначение ГОСТ Р 55932-2013:
не указано
Нормативные ссылки, связанные с ГОСТ Р 55932-2013:

Скачать ГОСТ Р 55932-2013 вы можете в следующих версиях:

Дата добавления:
Тип файла:
Загрузок:
Размер:
23/01/2016 18:00
PDF с изображениями
0
0.65 Мб

Текст стандарта

  • ГОСТ Р 55932-2013, страница 1 страница 1
  • ГОСТ Р 55932-2013, страница 2 страница 2
  • ГОСТ Р 55932-2013, страница 3 страница 3
  • ГОСТ Р 55932-2013, страница 4 страница 4
  • ГОСТ Р 55932-2013, страница 5 страница 5
  • ГОСТ Р 55932-2013, страница 6 страница 6
  • ГОСТ Р 55932-2013, страница 7 страница 7
  • ГОСТ Р 55932-2013, страница 8 страница 8
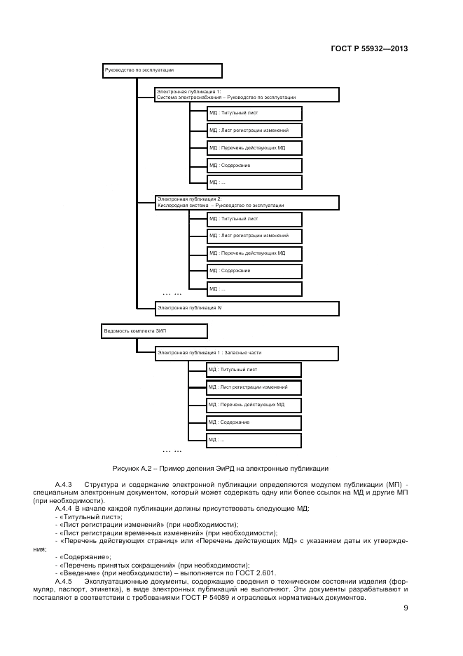
  • ГОСТ Р 55932-2013, страница 9 страница 9
  • ГОСТ Р 55932-2013, страница 10 страница 10
  • ГОСТ Р 55932-2013, страница 11 страница 11
  • ГОСТ Р 55932-2013, страница 12 страница 12