ГОСТ Р 55342-2012 Представление и обмен данными по режущим инструментам. Часть 150. Руководство пользователя

Категории ГОСТ Р 55342-2012 по ОКС:
Статус документа:
действует, введён в действие 01.01.2014
Название на английском языке:
Cutting tool data representation and exchange. Part 150. Usage guidelines
Дата актуализации информации по стандарту:
30.11.-0001, в 00:00 (более года назад)
Вид стандарта:
временно не известен
Дата начала действия ГОСТа:
2014-01-01
Коды документа ГОСТ Р 55342-2012:
Код КГС:
Т58
Число страниц:
не известно
Назначение ГОСТ Р 55342-2012:
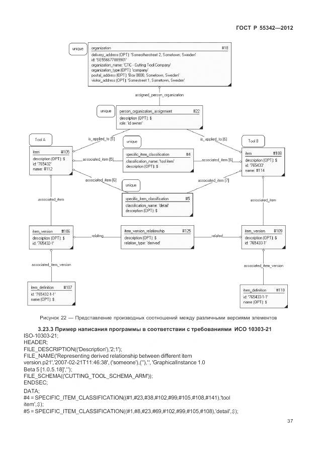
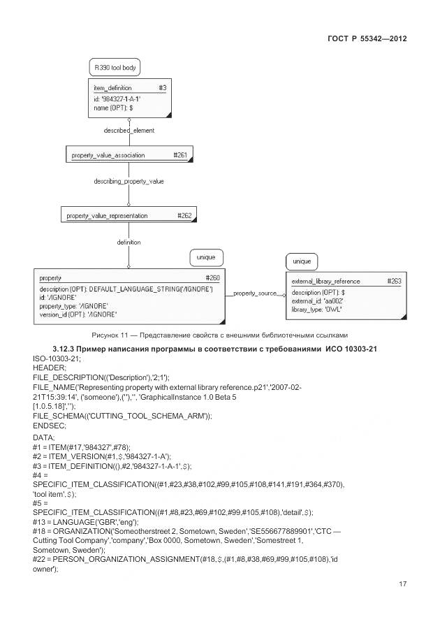
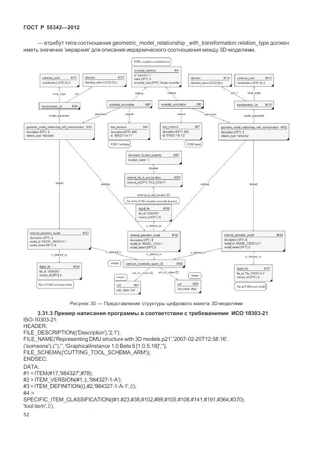
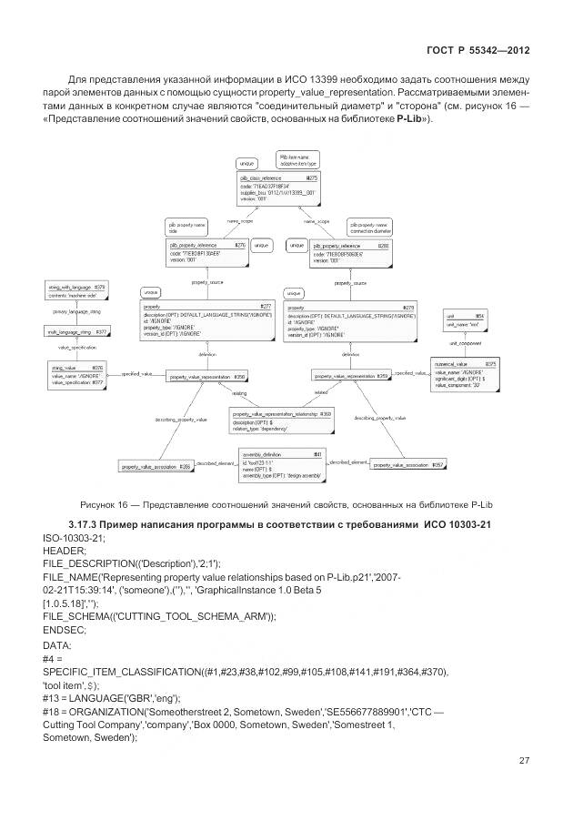
Настоящий стандарт устанавливает руководство по использованию комплекса международных стандартов ИСО 13399 в целом, включая указания по реализации схемы EXPRESS, описанной в ИСО 13399-1, а также по применению ссылочных данных, приведенных в ИСО/ТС 13399-2, ИСО/ТС 13399-3, ИСО/ТС 13399-4, ИСО/ТС 13399-5, ИСО/ТС 13399-50 и ИСО/ТС 13399-60. Настоящий стандарт не определяет термины и свойства режущих элементов, частей инструментов, адаптивных и сборочных элементов, ссылочных и соединительных систем, а также общих особенностей
Документ разработан орг-ей:
Федеральное агентство по техническому регулированию и метрологии (Росстандарт)
Ключевые слова документа:
адаптивный элемент, библиотека данных, обмен данными по режущим инструментам, режущий инструмент, свойства адаптивных элементов
Нормативные ссылки, связанные с ГОСТ Р 55342-2012:

Скачать ГОСТ Р 55342-2012 вы можете в следующих версиях:

Дата добавления:
Тип файла:
Загрузок:
Размер:
23/01/2016 18:13
PDF с изображениями
0
3.72 Мб

Текст стандарта

  • ГОСТ Р 55342-2012, страница 1 страница 1
  • ГОСТ Р 55342-2012, страница 2 страница 2
  • ГОСТ Р 55342-2012, страница 3 страница 3
  • ГОСТ Р 55342-2012, страница 4 страница 4
  • ГОСТ Р 55342-2012, страница 5 страница 5
  • ГОСТ Р 55342-2012, страница 6 страница 6
  • ГОСТ Р 55342-2012, страница 7 страница 7
  • ГОСТ Р 55342-2012, страница 8 страница 8
  • ГОСТ Р 55342-2012, страница 9 страница 9
  • ГОСТ Р 55342-2012, страница 10 страница 10
  • ГОСТ Р 55342-2012, страница 11 страница 11
  • ГОСТ Р 55342-2012, страница 12 страница 12
  • ГОСТ Р 55342-2012, страница 13 страница 13
  • ГОСТ Р 55342-2012, страница 14 страница 14
  • ГОСТ Р 55342-2012, страница 15 страница 15
  • ГОСТ Р 55342-2012, страница 16 страница 16
  • ГОСТ Р 55342-2012, страница 17 страница 17
  • ГОСТ Р 55342-2012, страница 18 страница 18
  • ГОСТ Р 55342-2012, страница 19 страница 19
  • ГОСТ Р 55342-2012, страница 20 страница 20
  • ГОСТ Р 55342-2012, страница 21 страница 21
  • ГОСТ Р 55342-2012, страница 22 страница 22
  • ГОСТ Р 55342-2012, страница 23 страница 23
  • ГОСТ Р 55342-2012, страница 24 страница 24
  • ГОСТ Р 55342-2012, страница 25 страница 25
  • ГОСТ Р 55342-2012, страница 26 страница 26
  • ГОСТ Р 55342-2012, страница 27 страница 27
  • ГОСТ Р 55342-2012, страница 28 страница 28
  • ГОСТ Р 55342-2012, страница 29 страница 29
  • ГОСТ Р 55342-2012, страница 30 страница 30
  • ГОСТ Р 55342-2012, страница 31 страница 31
  • ГОСТ Р 55342-2012, страница 32 страница 32
  • ГОСТ Р 55342-2012, страница 33 страница 33
  • ГОСТ Р 55342-2012, страница 34 страница 34
  • ГОСТ Р 55342-2012, страница 35 страница 35
  • ГОСТ Р 55342-2012, страница 36 страница 36
  • ГОСТ Р 55342-2012, страница 37 страница 37
  • ГОСТ Р 55342-2012, страница 38 страница 38
  • ГОСТ Р 55342-2012, страница 39 страница 39
  • ГОСТ Р 55342-2012, страница 40 страница 40
  • ГОСТ Р 55342-2012, страница 41 страница 41
  • ГОСТ Р 55342-2012, страница 42 страница 42
  • ГОСТ Р 55342-2012, страница 43 страница 43
  • ГОСТ Р 55342-2012, страница 44 страница 44
  • ГОСТ Р 55342-2012, страница 45 страница 45
  • ГОСТ Р 55342-2012, страница 46 страница 46
  • ГОСТ Р 55342-2012, страница 47 страница 47
  • ГОСТ Р 55342-2012, страница 48 страница 48
  • ГОСТ Р 55342-2012, страница 49 страница 49
  • ГОСТ Р 55342-2012, страница 50 страница 50
  • ГОСТ Р 55342-2012, страница 51 страница 51
  • ГОСТ Р 55342-2012, страница 52 страница 52
  • ГОСТ Р 55342-2012, страница 53 страница 53
  • ГОСТ Р 55342-2012, страница 54 страница 54
  • ГОСТ Р 55342-2012, страница 55 страница 55
  • ГОСТ Р 55342-2012, страница 56 страница 56
  • ГОСТ Р 55342-2012, страница 57 страница 57
  • ГОСТ Р 55342-2012, страница 58 страница 58
  • ГОСТ Р 55342-2012, страница 59 страница 59
  • ГОСТ Р 55342-2012, страница 60 страница 60
  • ГОСТ Р 55342-2012, страница 61 страница 61
  • ГОСТ Р 55342-2012, страница 62 страница 62
  • ГОСТ Р 55342-2012, страница 63 страница 63
  • ГОСТ Р 55342-2012, страница 64 страница 64
  • ГОСТ Р 55342-2012, страница 65 страница 65
  • ГОСТ Р 55342-2012, страница 66 страница 66
  • ГОСТ Р 55342-2012, страница 67 страница 67
  • ГОСТ Р 55342-2012, страница 68 страница 68
  • ГОСТ Р 55342-2012, страница 69 страница 69
  • ГОСТ Р 55342-2012, страница 70 страница 70
  • ГОСТ Р 55342-2012, страница 71 страница 71
  • ГОСТ Р 55342-2012, страница 72 страница 72
  • ГОСТ Р 55342-2012, страница 73 страница 73
  • ГОСТ Р 55342-2012, страница 74 страница 74
  • ГОСТ Р 55342-2012, страница 75 страница 75
  • ГОСТ Р 55342-2012, страница 76 страница 76
  • ГОСТ Р 55342-2012, страница 77 страница 77
  • ГОСТ Р 55342-2012, страница 78 страница 78
  • ГОСТ Р 55342-2012, страница 79 страница 79
  • ГОСТ Р 55342-2012, страница 80 страница 80
  • ГОСТ Р 55342-2012, страница 81 страница 81
  • ГОСТ Р 55342-2012, страница 82 страница 82
  • ГОСТ Р 55342-2012, страница 83 страница 83
  • ГОСТ Р 55342-2012, страница 84 страница 84
  • ГОСТ Р 55342-2012, страница 85 страница 85
  • ГОСТ Р 55342-2012, страница 86 страница 86
  • ГОСТ Р 55342-2012, страница 87 страница 87