ГОСТ Р 55076-2012 Трубы и детали трубопроводов из реактопластов, армированных стекловолокном. Методы определения наработки до отказа под действием постоянного внутреннего давления

Категории ГОСТ Р 55076-2012 по ОКС:
Статус документа:
действует, введён в действие 01.01.2014
Название на английском языке:
Fiberglass reinforced thermosetting plastic pipes and part of pipelines. Methods for determination of time to failure under sustained internal pressure
Дата актуализации информации по стандарту:
30.10.2025, в 20:51 (менее 3 месяцев назад)
Вид стандарта:
временно не известен
Дата начала действия ГОСТа:
2014-01-01
Коды документа ГОСТ Р 55076-2012:
Код ОКП:
229641;229690
Число страниц:
17
Назначение ГОСТ Р 55076-2012:
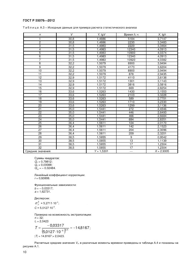
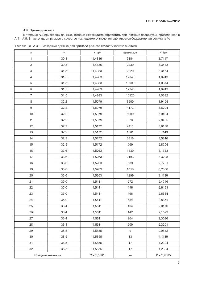
Настоящий стандарт устанавливает метод определения времени до отказа труб и деталей трубопроводов из реактопластов, армированных стекловолокном, при воздействии внутреннего давления
Документ разработан орг-ей:
Федеральное агентство по техническому регулированию и метрологии (Росстандарт)
Ключевые слова документа:
методы испытаний, наработка до отказа, постоянное внутреннее давление, реактопласты, регрессионный анализ, стеклокомпозитные трубы и фитинги

Скачать ГОСТ Р 55076-2012 вы можете в следующих версиях:

Тип файла:
Дата добавления:
Загрузок:
Размер:
Тип файла:
PDF с изображениями
Добавлен:
20/11/2025 14:22
Скачиваний:
5
Размер файла:
0.96 Мб
  • ГОСТ Р 55076-2012, страница 1 страница 1
  • ГОСТ Р 55076-2012, страница 2 страница 2
  • ГОСТ Р 55076-2012, страница 3 страница 3
  • ГОСТ Р 55076-2012, страница 4 страница 4
  • ГОСТ Р 55076-2012, страница 5 страница 5
  • ГОСТ Р 55076-2012, страница 6 страница 6
  • ГОСТ Р 55076-2012, страница 7 страница 7
  • ГОСТ Р 55076-2012, страница 8 страница 8
  • ГОСТ Р 55076-2012, страница 9 страница 9
  • ГОСТ Р 55076-2012, страница 10 страница 10
  • ГОСТ Р 55076-2012, страница 11 страница 11
  • ГОСТ Р 55076-2012, страница 12 страница 12
  • ГОСТ Р 55076-2012, страница 13 страница 13
  • ГОСТ Р 55076-2012, страница 14 страница 14
  • ГОСТ Р 55076-2012, страница 15 страница 15
  • ГОСТ Р 55076-2012, страница 16 страница 16
  • ГОСТ Р 55076-2012, страница 17 страница 17