ГОСТ Р 52623.2-2015 Технологии выполнения простых медицинских услуг. Десмургия, иммобилизация, бандажи, ортопедические пособия

Категории ГОСТ Р 52623.2-2015 по ОКС:
Статус документа:
принят, введён в действие 01.03.2016
Название на английском языке:
Technologies of simple medical services. Desmurgy, immobilization, bandages, orthopedic benefits
Дата актуализации информации по стандарту:
11.08.2025, в 13:29 (менее 3 месяцев назад)
Вид стандарта:
временно не известен
Дата начала действия ГОСТа:
2016-03-01
Число страниц:
20
Назначение ГОСТ Р 52623.2-2015:
не указано
Нормативные ссылки, связанные с ГОСТ Р 52623.2-2015:

Скачать ГОСТ Р 52623.2-2015 вы можете в следующих версиях:

Дата добавления:
Тип файла:
Загрузок:
Размер:
23/01/2016 01:33
PDF с изображениями
0
0.74 Мб

Текст стандарта

  • ГОСТ Р 52623.2-2015, страница 1 страница 1
  • ГОСТ Р 52623.2-2015, страница 2 страница 2
  • ГОСТ Р 52623.2-2015, страница 3 страница 3
  • ГОСТ Р 52623.2-2015, страница 4 страница 4
  • ГОСТ Р 52623.2-2015, страница 5 страница 5
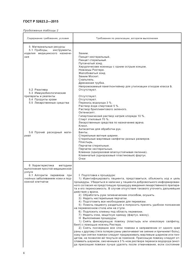
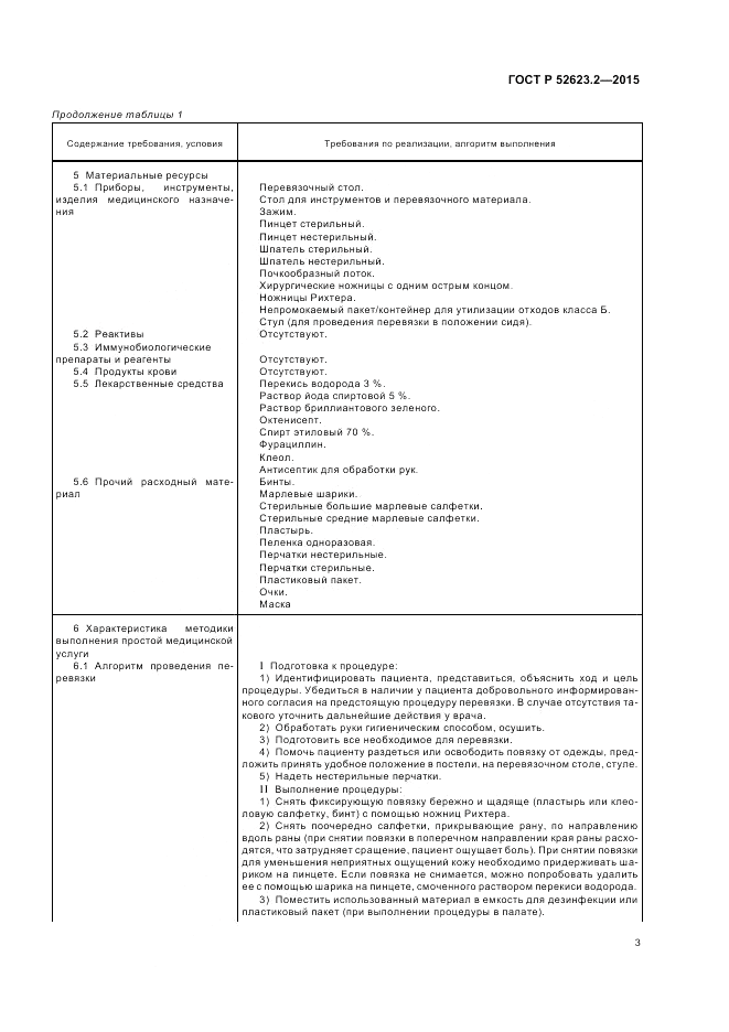
  • ГОСТ Р 52623.2-2015, страница 6 страница 6
  • ГОСТ Р 52623.2-2015, страница 7 страница 7
  • ГОСТ Р 52623.2-2015, страница 8 страница 8
  • ГОСТ Р 52623.2-2015, страница 9 страница 9
  • ГОСТ Р 52623.2-2015, страница 10 страница 10
  • ГОСТ Р 52623.2-2015, страница 11 страница 11
  • ГОСТ Р 52623.2-2015, страница 12 страница 12
  • ГОСТ Р 52623.2-2015, страница 13 страница 13
  • ГОСТ Р 52623.2-2015, страница 14 страница 14
  • ГОСТ Р 52623.2-2015, страница 15 страница 15
  • ГОСТ Р 52623.2-2015, страница 16 страница 16
  • ГОСТ Р 52623.2-2015, страница 17 страница 17
  • ГОСТ Р 52623.2-2015, страница 18 страница 18
  • ГОСТ Р 52623.2-2015, страница 19 страница 19
  • ГОСТ Р 52623.2-2015, страница 20 страница 20