ГОСТ 34137-2017 Продукты пищевые, продовольственное сырье. Метод определения остаточного содержания цефалоспоринов с помощью высокоэффективной жидкостной хроматографии с масс-спектрометрическим детектированием

Категории ГОСТ 34137-2017 по ОКС:
Статус документа:
действует, введён в действие 01.07.2018
Название на английском языке:
Food products, food raw materials. Method for determination of the residual content cephalosporins by high performance liquid chromatography - mass spectrometry
Дата актуализации информации по стандарту:
30.10.2025, в 10:09 (менее 3 месяцев назад)
Вид стандарта:
Стандарты на методы контроля
Дата начала действия ГОСТа:
2018-07-01
Дата последнего издания документа:
2017-08-10
Число страниц:
24
Назначение ГОСТ 34137-2017:
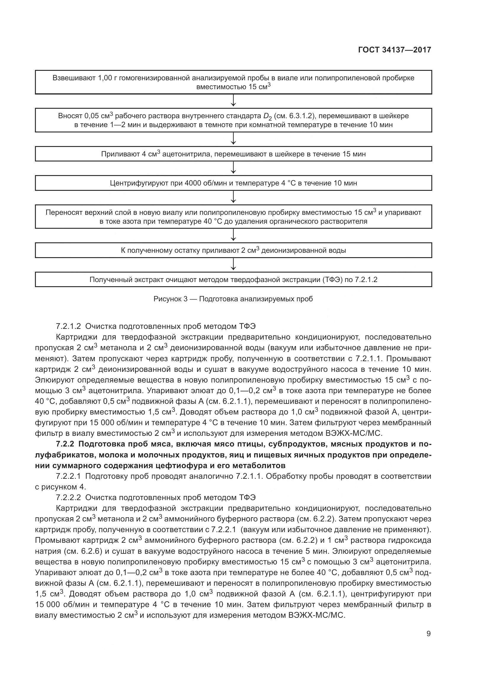
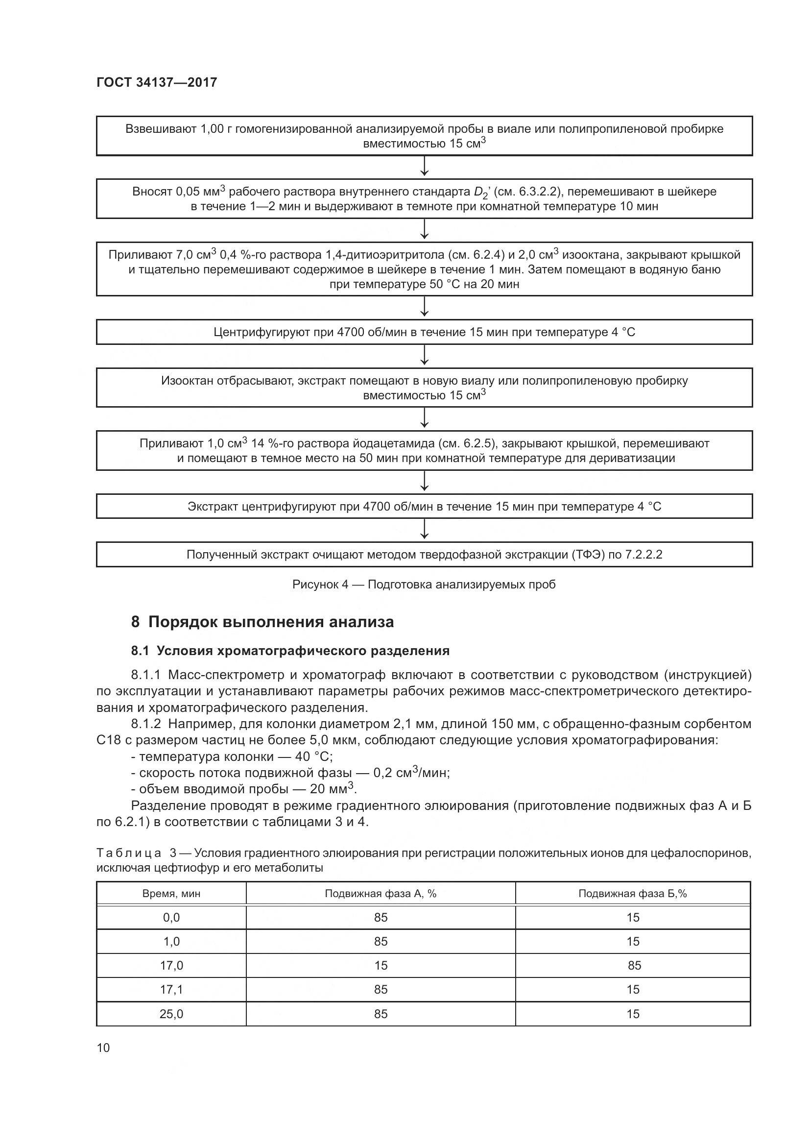
Настоящий стандарт распространяется на пищевые продукты и продовольственное сырье: мясо (все виды животных), в том числе мясо птицы, субпродукты, мясные продукты, полуфабрикаты, яйца и продукты их переработки, молоко, молочные продукты, в том числе сыр и устанавливает метод высокоэффективной жидкостной хроматографии с масс-спектрометрическим детектированием (далее - ВЭЖХ-МС/МС) для определения остаточного содержания цефалоспоринов в диапазоне измерений от 5 до 500 мкг/кг, в т. ч. цефтиофура и его метаболитов в диапазоне измерений от 30 до 3000 мкг/кг
Документ разработан орг-ей:
Федеральное агентство по техническому регулированию и метрологии (Росстандарт)
Документ принят орг-ей:
Межгосударственный Совет по стандартизации метрологии и сертификации, протокол №101-П
Ключевые слова документа:
десфуроил цефтиофур, и десфуроил цефтиофур цистеин дисульфид, метод определения содержания с помощью высокоэффективной жидкостной хроматографии с масс-спектрометрическим детектированием, пищевые продукты, цефалоспорины и их метаболиты, цефтиофур

Скачать ГОСТ 34137-2017 вы можете в следующих версиях:

Тип файла:
Дата добавления:
Загрузок:
Размер:
Тип файла:
PDF с изображениями
Добавлен:
20/11/2025 14:33
Скачиваний:
7
Размер файла:
7.38 Мб
  • ГОСТ 34137-2017, страница 1 страница 1
  • ГОСТ 34137-2017, страница 2 страница 2
  • ГОСТ 34137-2017, страница 3 страница 3
  • ГОСТ 34137-2017, страница 4 страница 4
  • ГОСТ 34137-2017, страница 5 страница 5
  • ГОСТ 34137-2017, страница 6 страница 6
  • ГОСТ 34137-2017, страница 7 страница 7
  • ГОСТ 34137-2017, страница 8 страница 8
  • ГОСТ 34137-2017, страница 9 страница 9
  • ГОСТ 34137-2017, страница 10 страница 10
  • ГОСТ 34137-2017, страница 11 страница 11
  • ГОСТ 34137-2017, страница 12 страница 12
  • ГОСТ 34137-2017, страница 13 страница 13
  • ГОСТ 34137-2017, страница 14 страница 14
  • ГОСТ 34137-2017, страница 15 страница 15
  • ГОСТ 34137-2017, страница 16 страница 16
  • ГОСТ 34137-2017, страница 17 страница 17
  • ГОСТ 34137-2017, страница 18 страница 18
  • ГОСТ 34137-2017, страница 19 страница 19
  • ГОСТ 34137-2017, страница 20 страница 20
  • ГОСТ 34137-2017, страница 21 страница 21
  • ГОСТ 34137-2017, страница 22 страница 22
  • ГОСТ 34137-2017, страница 23 страница 23
  • ГОСТ 34137-2017, страница 24 страница 24