ГОСТ 33728-2016 Платина. Методы атомно-эмиссионного анализа с дуговым возбуждением спектра

Категории ГОСТ 33728-2016 по ОКС:
Статус документа:
действует, введён в действие 01.01.2017
Название на английском языке:
Platinum. Methods of ark atomic-emission analysis
Дата актуализации информации по стандарту:
26.10.2025, в 23:25 (менее 3 месяцев назад)
Вид стандарта:
Стандарты на методы контроля
Дата начала действия ГОСТа:
2017-01-01
Дата последнего издания документа:
2016-08-29
Число страниц:
24
Назначение ГОСТ 33728-2016:
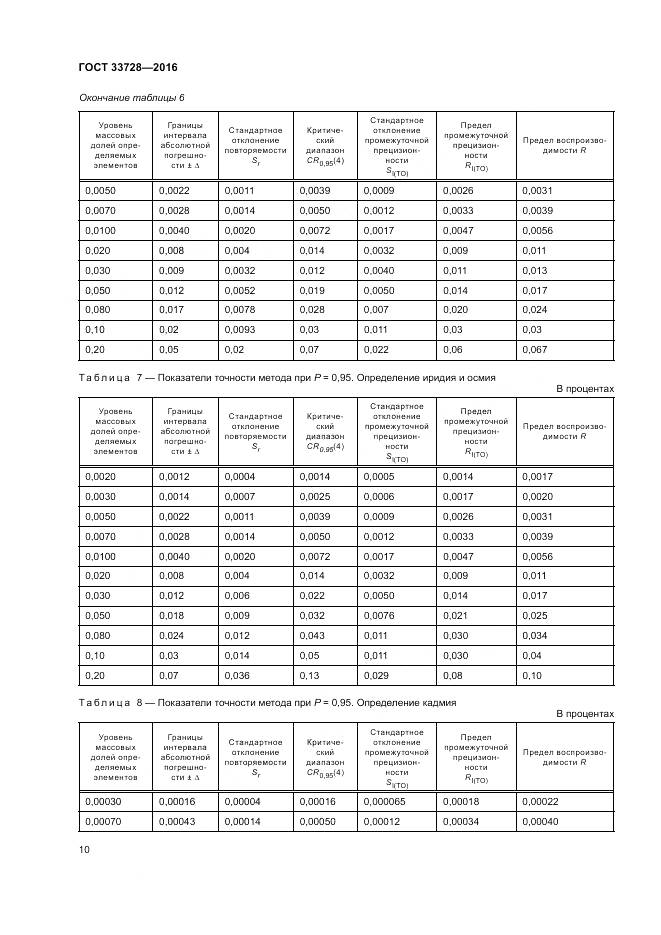
Настоящий стандарт распространяется на платину в слитках и порошке с массовой долей платины не менее 99,8%, предназначенную для производства сплавов, полуфабрикатов, химических соединений платины и других целей. Настоящий стандарт устанавливает спектрографический и спектрометрический методы атомно-эмиссионного анализа (с дуговым возбуждением спектра) для определения массовых долей примесей алюминия, висмута, германия, железа, золота, иридия, кадмия, кальция, кобальта, кремния, магния, марганца, меди, молибдена, мышьяка, никеля, олова, осмия, палладия, рения, родия, рутения, свинца, серебра, сурьмы, теллура, титана, хрома и цинка в платине
Документ разработан орг-ей:
Федеральное агентство по техническому регулированию и метрологии (Росстандарт)
Документ принят орг-ей:
Межгосударственный Совет по стандартизации метрологии и сертификации, протокол №85-П
Ключевые слова документа:
абсолютная погрешность, дуга переменного тока, дуга постоянного тока, контроль точности результатов анализа, методы (спектрографический и спектрометрический) атомно-эмиссионного анализа, образцы для градуировки, платина, платина в порошке, платина в слитках, правильность метода анализа, предел воспроизводимости, предел повторяемости, предел промежуточной прецизионности, прецизионность метода анализа, примеси, стандартные образцы состава

Скачать ГОСТ 33728-2016 вы можете в следующих версиях:

Тип файла:
Дата добавления:
Загрузок:
Размер:
Тип файла:
PDF с изображениями
Добавлен:
20/11/2025 15:27
Скачиваний:
8
Размер файла:
2.16 Мб
  • ГОСТ 33728-2016, страница 1 страница 1
  • ГОСТ 33728-2016, страница 2 страница 2
  • ГОСТ 33728-2016, страница 3 страница 3
  • ГОСТ 33728-2016, страница 4 страница 4
  • ГОСТ 33728-2016, страница 5 страница 5
  • ГОСТ 33728-2016, страница 6 страница 6
  • ГОСТ 33728-2016, страница 7 страница 7
  • ГОСТ 33728-2016, страница 8 страница 8
  • ГОСТ 33728-2016, страница 9 страница 9
  • ГОСТ 33728-2016, страница 10 страница 10
  • ГОСТ 33728-2016, страница 11 страница 11
  • ГОСТ 33728-2016, страница 12 страница 12
  • ГОСТ 33728-2016, страница 13 страница 13
  • ГОСТ 33728-2016, страница 14 страница 14
  • ГОСТ 33728-2016, страница 15 страница 15
  • ГОСТ 33728-2016, страница 16 страница 16
  • ГОСТ 33728-2016, страница 17 страница 17
  • ГОСТ 33728-2016, страница 18 страница 18
  • ГОСТ 33728-2016, страница 19 страница 19
  • ГОСТ 33728-2016, страница 20 страница 20
  • ГОСТ 33728-2016, страница 21 страница 21
  • ГОСТ 33728-2016, страница 22 страница 22
  • ГОСТ 33728-2016, страница 23 страница 23
  • ГОСТ 33728-2016, страница 24 страница 24