ГОСТ 32189-2013 Маргарины, жиры для кулинарии, кондитерской, хлебопекарной и молочной промышленности. Правила приемки и методы контроля

Категории ГОСТ 32189-2013 по ОКС:
Статус документа:
действует, введён в действие 01.07.2014
Название на английском языке:
Margarines, cooking fats, fats for confectionery, baking and dairy industry. Sampling rules and methods of control
Дата актуализации информации по стандарту:
17.09.2019, в 11:17 (более года назад)
Вид стандарта:
Стандарты на продукцию (услуги)
Дата начала действия ГОСТа:
2014-07-01
Дата последнего издания документа:
2014-01-30
Коды документа ГОСТ 32189-2013:
Код КГС:
Н69
Число страниц:
42
Назначение ГОСТ 32189-2013:
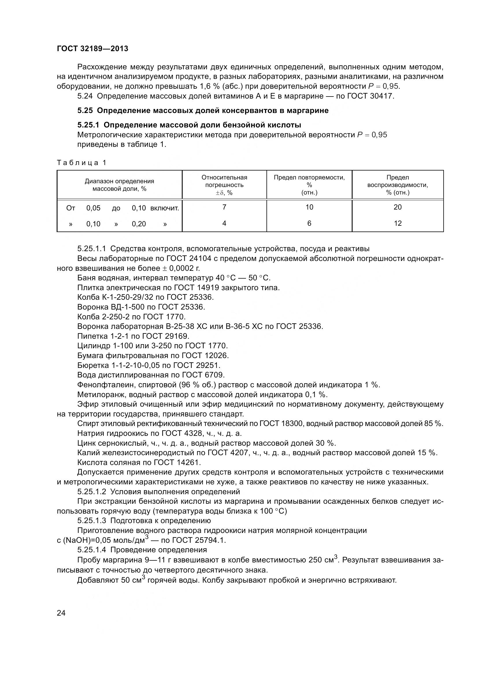
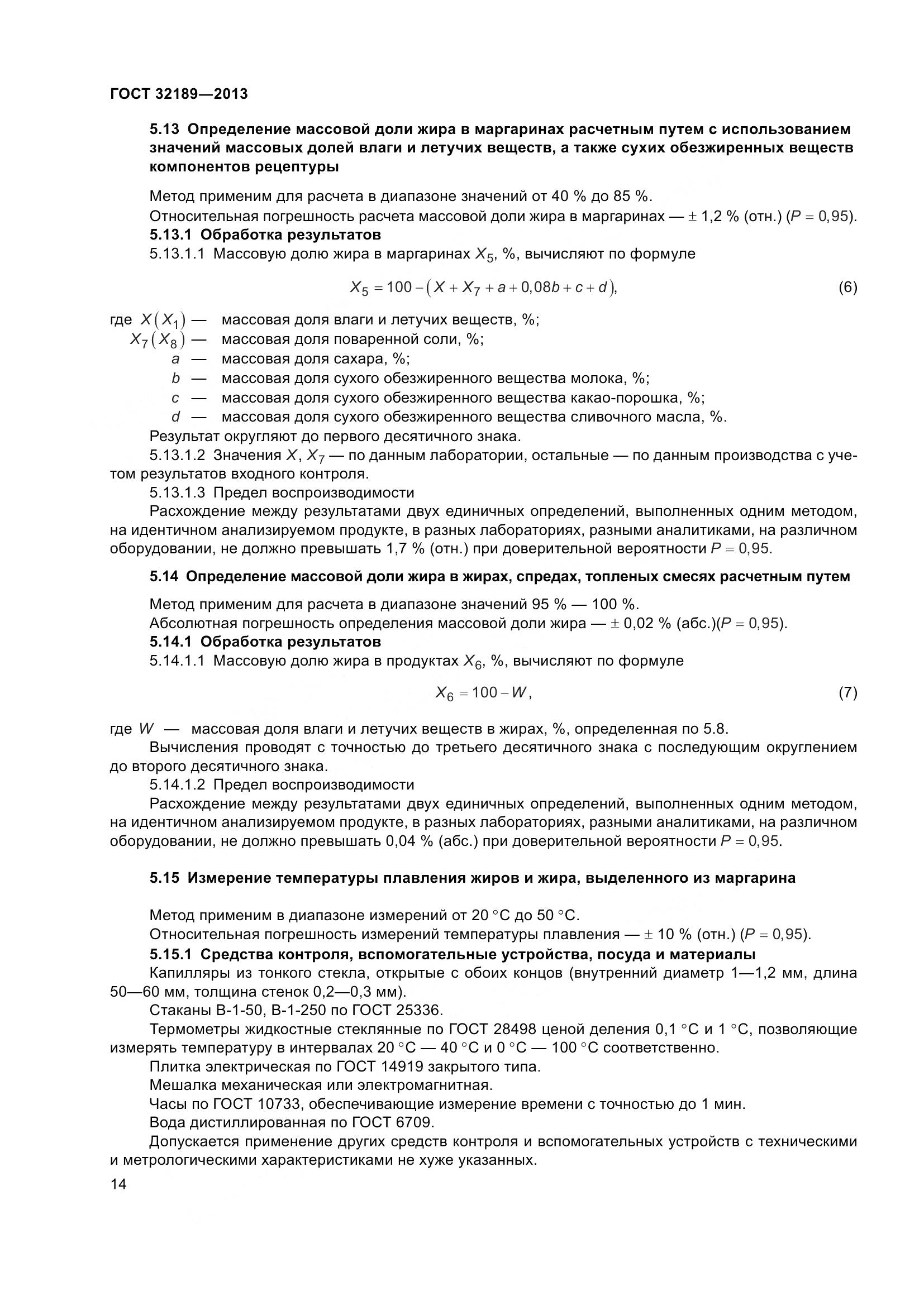
Настоящий стандарт распространяется на маргарины, спреды, топленые смеси, жиры, предназначенные для кулинарии, кондитерской, хлебопекарной и молочной промышленности, и устанавливает правила приемки и методы: - определения цвета, запаха и вкуса; определения консистенции; определения прозрачности твердого жира; - определения массовой доли влаги и летучих веществ; определения кислотного числа жира; определения кислотности маргарина; определения массовой доли жира; измерения температуры плавления жира; измерения температуры застывания жира; измерения твердости жира; определе-ния массовой доли поваренной соли в маргарине; определения массовой доли линолевой кислоты в маргарине; определения массовой доли трансизомеров олеиновой кислоты; определения массовой доли витаминов в маргарине; определения массовой доли консервантов в маргарине; определения массовой доли твердых триглицеридов; определения перекисного числа; определения массовой концентрации никеля; измерения рН маргарина
Документ разработан орг-ей:
Федеральное агентство по техническому регулированию и метрологии (Росстандарт)
Ключевые слова документа:
вкус, жиры для кулинарии, запах, кислотное число, кондитерской, консистенция, маргарины, массовая доля влаги и летучих веществ, массовая доля жира, массовая доля поваренной соли, массовая доля твердых триглицеридов, массовые доли витаминов А и Е и консервантов, методы контроля, молочной промышленности, определение цвета, правила приемки, прозрачность, рН маргарина, твердость, температура застывания, температура плавления, хлебопекарной

Скачать ГОСТ 32189-2013 вы можете в следующих версиях:

В данный момент версий документа для скачивания не добавлено.

Мы стараемся пополнять базу документов еженедельно и из разных источников, в обозримом будущем версии для этого ГОСТа появятся.

Вы можете просмотреть online текст стандарта ГОСТ 32189-2013

Просмотреть текст ГОСТ 32189-2013

Текст стандарта

  • ГОСТ 32189-2013, страница 1 страница 1
  • ГОСТ 32189-2013, страница 2 страница 2
  • ГОСТ 32189-2013, страница 3 страница 3
  • ГОСТ 32189-2013, страница 4 страница 4
  • ГОСТ 32189-2013, страница 5 страница 5
  • ГОСТ 32189-2013, страница 6 страница 6
  • ГОСТ 32189-2013, страница 7 страница 7
  • ГОСТ 32189-2013, страница 8 страница 8
  • ГОСТ 32189-2013, страница 9 страница 9
  • ГОСТ 32189-2013, страница 10 страница 10
  • ГОСТ 32189-2013, страница 11 страница 11
  • ГОСТ 32189-2013, страница 12 страница 12
  • ГОСТ 32189-2013, страница 13 страница 13
  • ГОСТ 32189-2013, страница 14 страница 14
  • ГОСТ 32189-2013, страница 15 страница 15
  • ГОСТ 32189-2013, страница 16 страница 16
  • ГОСТ 32189-2013, страница 17 страница 17
  • ГОСТ 32189-2013, страница 18 страница 18
  • ГОСТ 32189-2013, страница 19 страница 19
  • ГОСТ 32189-2013, страница 20 страница 20
  • ГОСТ 32189-2013, страница 21 страница 21
  • ГОСТ 32189-2013, страница 22 страница 22
  • ГОСТ 32189-2013, страница 23 страница 23
  • ГОСТ 32189-2013, страница 24 страница 24
  • ГОСТ 32189-2013, страница 25 страница 25
  • ГОСТ 32189-2013, страница 26 страница 26
  • ГОСТ 32189-2013, страница 27 страница 27
  • ГОСТ 32189-2013, страница 28 страница 28
  • ГОСТ 32189-2013, страница 29 страница 29
  • ГОСТ 32189-2013, страница 30 страница 30
  • ГОСТ 32189-2013, страница 31 страница 31
  • ГОСТ 32189-2013, страница 32 страница 32
  • ГОСТ 32189-2013, страница 33 страница 33
  • ГОСТ 32189-2013, страница 34 страница 34
  • ГОСТ 32189-2013, страница 35 страница 35
  • ГОСТ 32189-2013, страница 36 страница 36
  • ГОСТ 32189-2013, страница 37 страница 37
  • ГОСТ 32189-2013, страница 38 страница 38
  • ГОСТ 32189-2013, страница 39 страница 39
  • ГОСТ 32189-2013, страница 40 страница 40