ГОСТ 28487-2018 Соединения резьбовые упорные с замковой резьбой элементов бурильных колонн. Общие технические требования

Категории ГОСТ 28487-2018 по ОКС:
Статус документа:
действует, введён в действие 01.01.2020
Название на английском языке:
Thread shouldered connections with tool-joint thread of drill string elements. General technical requirements
Дата актуализации информации по стандарту:
19.06.2025, в 19:04 (менее полугода назад)
Вид стандарта:
Стандарты на продукцию (услуги)
Дата начала действия ГОСТа:
2020-01-01
Дата последнего издания документа:
2018-10-02
Число страниц:
35
Назначение ГОСТ 28487-2018:
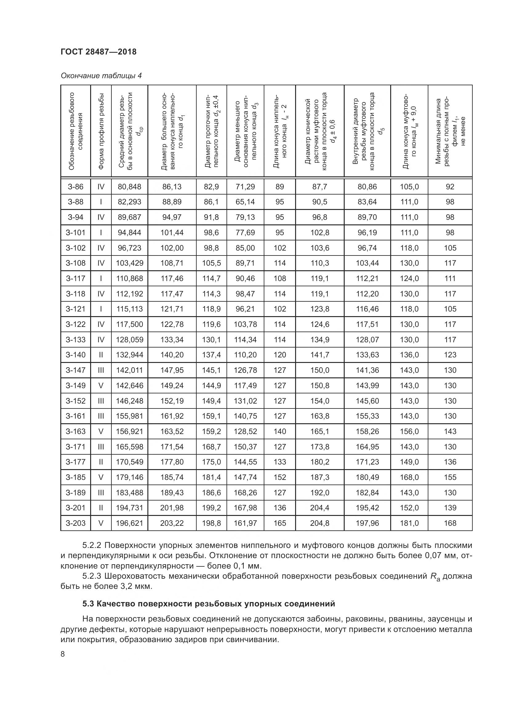
Настоящий стандарт распространяется на резьбовые упорные соединения с замковой резьбой элементов бурильных колонн и устанавливает требования к основным геометрическим параметрам соединений, качеству поверхности и нанесению покрытий, а также требования к разгрузочным элементам, контрольным меткам, холодному деформационному упрочнению и приработке соединений
Документ разработан орг-ей:
Федеральное агентство по техническому регулированию и метрологии (Росстандарт)
Документ принят орг-ей:
Межгосударственный Совет по стандартизации метрологии и сертификации, протокол №107-П
Ключевые слова документа:
взаимозаменяемость резьбовых упорных соединений, замковая резьба, контрольные метки, муфтовый конец, ниппельный конец, приработка, разгрузочные элементы, резьбовые упорные соединения, упорные элементы, холодное деформационное упрочнение, эквивалентные резьбовые упорные соединения, элементы бурильной колонны

Скачать ГОСТ 28487-2018 вы можете в следующих версиях:

В данный момент версий документа для скачивания не добавлено.

Мы стараемся пополнять базу документов еженедельно и из разных источников, в обозримом будущем версии для этого ГОСТа появятся.

Вы можете просмотреть online текст стандарта ГОСТ 28487-2018

Просмотреть текст ГОСТ 28487-2018

Текст стандарта

  • ГОСТ 28487-2018, страница 1 страница 1
  • ГОСТ 28487-2018, страница 2 страница 2
  • ГОСТ 28487-2018, страница 3 страница 3
  • ГОСТ 28487-2018, страница 4 страница 4
  • ГОСТ 28487-2018, страница 5 страница 5
  • ГОСТ 28487-2018, страница 6 страница 6
  • ГОСТ 28487-2018, страница 7 страница 7
  • ГОСТ 28487-2018, страница 8 страница 8
  • ГОСТ 28487-2018, страница 9 страница 9
  • ГОСТ 28487-2018, страница 10 страница 10
  • ГОСТ 28487-2018, страница 11 страница 11
  • ГОСТ 28487-2018, страница 12 страница 12
  • ГОСТ 28487-2018, страница 13 страница 13
  • ГОСТ 28487-2018, страница 14 страница 14
  • ГОСТ 28487-2018, страница 15 страница 15
  • ГОСТ 28487-2018, страница 16 страница 16
  • ГОСТ 28487-2018, страница 17 страница 17
  • ГОСТ 28487-2018, страница 18 страница 18
  • ГОСТ 28487-2018, страница 19 страница 19
  • ГОСТ 28487-2018, страница 20 страница 20
  • ГОСТ 28487-2018, страница 21 страница 21
  • ГОСТ 28487-2018, страница 22 страница 22
  • ГОСТ 28487-2018, страница 23 страница 23
  • ГОСТ 28487-2018, страница 24 страница 24
  • ГОСТ 28487-2018, страница 25 страница 25
  • ГОСТ 28487-2018, страница 26 страница 26
  • ГОСТ 28487-2018, страница 27 страница 27
  • ГОСТ 28487-2018, страница 28 страница 28
  • ГОСТ 28487-2018, страница 29 страница 29
  • ГОСТ 28487-2018, страница 30 страница 30
  • ГОСТ 28487-2018, страница 31 страница 31
  • ГОСТ 28487-2018, страница 32 страница 32
  • ГОСТ 28487-2018, страница 33 страница 33
  • ГОСТ 28487-2018, страница 34 страница 34
  • ГОСТ 28487-2018, страница 35 страница 35