ГОСТ ISO 22036-2014 Качество почвы. Определение микроэлементов в экстрактах почвы с использованием атомно-эмиссионной спектрометрии индуктивно связанной плазмы (ИСП-АЭС)

Категории ГОСТ ISO 22036-2014 по ОКС:
Статус документа:
действует, введён в действие 01.07.2015
Название на английском языке:
Soil quality. Determination of trace elements in extracts of soil by inductively coupled plasma-atomic emission spectrometry (ICP-AES)
Дата актуализации информации по стандарту:
17.09.2019, в 21:48 (более года назад)
Вид стандарта:
Стандарты на методы контроля
Дата начала действия ГОСТа:
2015-07-01
Дата последнего издания документа:
2015-02-02
Число страниц:
32
Назначение ГОСТ ISO 22036-2014:
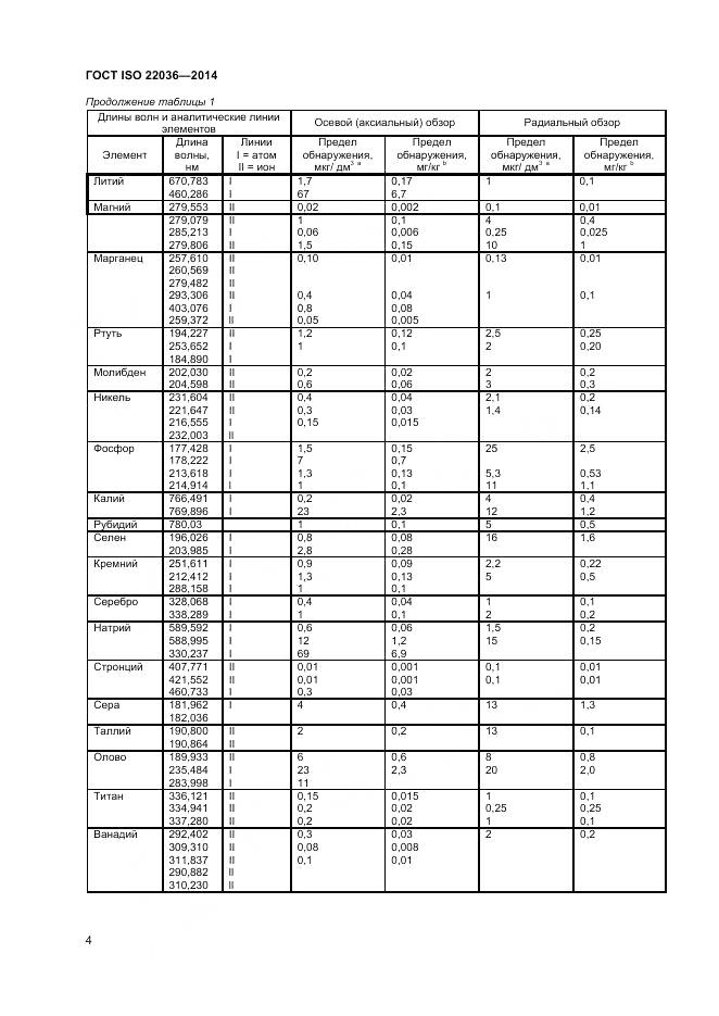
Настоящий стандарт описывает определение микроэлементов в экстрактах после кислотного разложения почв или в почвенных растворах с использованием метода атомно-эмиссионной спектрометрии индуктивно связанной плазмы (ИСП-АЭС) для 34 элементов
Документ разработан орг-ей:
Федеральное агентство по техническому регулированию и метрологии (Росстандарт)
Документ принят орг-ей:
Межгосударственный Совет по стандартизации метрологии и сертификации, протокол №67-П
Ключевые слова документа:
атомно-эмиссионная спектрометрия индуктивно связанной плазмы (ИСП-АЭС), качество почвы, определение микроэлементов в экстрактах почвы
Нормативные ссылки, связанные с ГОСТ ISO 22036-2014:

Скачать ГОСТ ISO 22036-2014 вы можете в следующих версиях:

Дата добавления:
Тип файла:
Загрузок:
Размер:
23/01/2016 18:08
PDF с изображениями
0
1.39 Мб

Текст стандарта

  • ГОСТ ISO 22036-2014, страница 1 страница 1
  • ГОСТ ISO 22036-2014, страница 2 страница 2
  • ГОСТ ISO 22036-2014, страница 3 страница 3
  • ГОСТ ISO 22036-2014, страница 4 страница 4
  • ГОСТ ISO 22036-2014, страница 5 страница 5
  • ГОСТ ISO 22036-2014, страница 6 страница 6
  • ГОСТ ISO 22036-2014, страница 7 страница 7
  • ГОСТ ISO 22036-2014, страница 8 страница 8
  • ГОСТ ISO 22036-2014, страница 9 страница 9
  • ГОСТ ISO 22036-2014, страница 10 страница 10
  • ГОСТ ISO 22036-2014, страница 11 страница 11
  • ГОСТ ISO 22036-2014, страница 12 страница 12
  • ГОСТ ISO 22036-2014, страница 13 страница 13
  • ГОСТ ISO 22036-2014, страница 14 страница 14
  • ГОСТ ISO 22036-2014, страница 15 страница 15
  • ГОСТ ISO 22036-2014, страница 16 страница 16
  • ГОСТ ISO 22036-2014, страница 17 страница 17
  • ГОСТ ISO 22036-2014, страница 18 страница 18
  • ГОСТ ISO 22036-2014, страница 19 страница 19
  • ГОСТ ISO 22036-2014, страница 20 страница 20
  • ГОСТ ISO 22036-2014, страница 21 страница 21
  • ГОСТ ISO 22036-2014, страница 22 страница 22
  • ГОСТ ISO 22036-2014, страница 23 страница 23
  • ГОСТ ISO 22036-2014, страница 24 страница 24
  • ГОСТ ISO 22036-2014, страница 25 страница 25
  • ГОСТ ISO 22036-2014, страница 26 страница 26
  • ГОСТ ISO 22036-2014, страница 27 страница 27
  • ГОСТ ISO 22036-2014, страница 28 страница 28
  • ГОСТ ISO 22036-2014, страница 29 страница 29
  • ГОСТ ISO 22036-2014, страница 30 страница 30
  • ГОСТ ISO 22036-2014, страница 31 страница 31
  • ГОСТ ISO 22036-2014, страница 32 страница 32