ГОСТ 1791-2014
ГОСТ 1791-2014 Проволока из никелевого и медно-никелевых сплавов для удлиняющих проводов к термоэлектрическим преобразователям. Технические условия
Категории ГОСТ 1791-2014 по ОКС:- Статус документа:
- действует, введён в действие 01.09.2015
- Название на английском языке:
- Nickel and copper-nickel alloys wire for extension leads for thermoelectric temperature transducers. Specifications
- Дата актуализации информации по стандарту:
- 22.10.2025, в 12:44 (менее 3 месяцев назад)
- Вид стандарта:
- Основополагающие стандарты
- Дата начала действия ГОСТа:
- 2015-09-01
- Дата последнего издания документа:
- 2015-03-02
Коды документа ГОСТ 1791-2014:
- Код ОКП:
- 184790
- Код КГС:
- В74
- Число страниц:
- 17
- Назначение ГОСТ 1791-2014:
- Настоящий стандарт распространяется на проволоку круглого сечения из никелевого и медно-никелевых сплавов, предназначенную для изготовления удлиняющих проводов к термоэлектрическим преобразователям: хромель-копель в диапазоне от минус 50 °С до плюс 200 °С, хромель-алюмель и платинородий-платина в диапазоне от 0 °С до 100 °С. Требования настоящего стандарта являются обязательными
- Документ принят орг-ей:
- Межгосударственный Совет по стандартизации метрологии и сертификации, протокол №46-2014
- Ключевые слова документа:
- бухта, катушка, константан, копель, марки, механические свойства, моток, номинальный диаметр, проволока из никелевого и медно-никелевого сплавов, растяжение, термоэлектродвижущая сила (т.э.д.с.), ТП, химический состав, хромель К
Нормативные ссылки, связанные с ГОСТ 1791-2014:
- Стандарт ссылается на ГОСТы:
- ГОСТ 6689.18-92, ГОСТ 6689.4-92, ГОСТ 6689.3-92, ГОСТ 6689.2-92, ГОСТ 6689.22-92, ГОСТ 6689.21-92, ГОСТ 6689.20-92, ГОСТ 6689.19-92, ГОСТ 6689.1-92, ГОСТ 6689.5-92, ГОСТ 6689.17-92, ГОСТ 6689.16-92, ГОСТ 6689.15-92, ГОСТ 6689.14-92, ГОСТ 6689.13-92, ГОСТ 6689.12-92, ГОСТ 6689.11-92, ГОСТ 6689.10-92, ГОСТ 6507-90, ГОСТ 25086-2011, ГОСТ 2112-79, ГОСТ 21140-88, ГОСТ 17675-87, ГОСТ 13646-68, ГОСТ 9569-2006, ГОСТ 9245-79, ГОСТ 7229-76, ГОСТ 492-73, ГОСТ 6323-79, ГОСТ 4381-87, ГОСТ 1770-74, ГОСТ 8.338-2002, ГОСТ 6689.9-92, ГОСТ 6689.8-92, ГОСТ 6689.7-92, ГОСТ 6689.6-92, ГОСТ 8273-75, ГОСТ 1953.12-79, ГОСТ 1953.11-79, ГОСТ 1953.10-79, ГОСТ 10446-80, ГОСТ 982-80, ГОСТ 9347-74, ГОСТ 9078-84, ГОСТ 8828-89, ГОСТ 1953.13-79, ГОСТ 2991-85, ГОСТ 26663-85, ГОСТ 24597-81, ГОСТ 22225-76, ГОСТ 21650-76, ГОСТ 20435-75, ГОСТ 15846-2002, ГОСТ 14192-96, ГОСТ 1953.5-79, ГОСТ 3560-73, ГОСТ 3282-74, ГОСТ 24231-80, ГОСТ 24047-80, ГОСТ 1953.9-79, ГОСТ 1953.8-79, ГОСТ 1953.7-79, ГОСТ 1953.6-79, ГОСТ 9557-87, ГОСТ 1953.4-79, ГОСТ 1953.3-79, ГОСТ 1953.2-79, ГОСТ 1953.1-79, ГОСТ 1953.16-79, ГОСТ 1953.15-79, ГОСТ 1953.14-79
- Ссылки на прочие:
- СТ СЭВ 543-77
Скачать ГОСТ 1791-2014 вы можете в следующих версиях:
Тип файла:
Дата добавления:
Загрузок:
Размер:
Ссылка на скачивание:
Добавлен:
20/11/2025 16:12
Скачиваний:
4
Размер файла:
4.48 Мб
Ссылка для скачивания:
Поправки и изменения к ГОСТ 1791-2014:
-
Наименование, вид:Датарегистрации:начала действия:Ссылка:
-
Поправка к ГОСТ 1791-2014
Тип изменения: Поправка
Номер изменения:
Регистрационный номер: -
2021-03-152021-03-15
-
страница 1
-
страница 2
-
страница 3
-
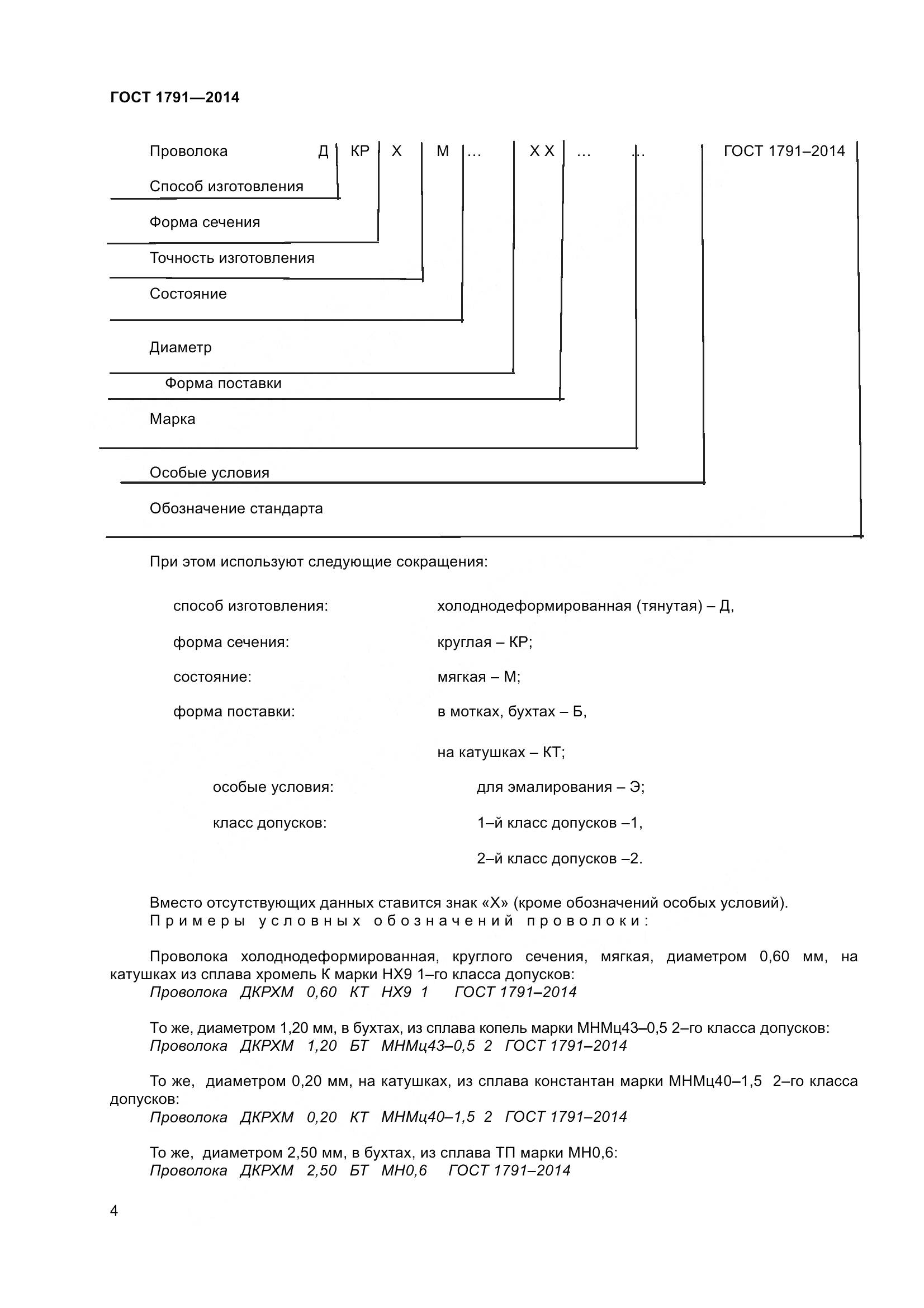
страница 4
-
страница 5
-
страница 6
-
страница 7
-
страница 8
-
страница 9
-
страница 10
-
страница 11
-
страница 12
-
страница 13
-
страница 14
-
страница 15
-
страница 16
-
страница 17