ГОСТ Р ИСО 15614-13-2025 Технические требования и аттестация процедур сварки металлических материалов. Проверка процедуры сварки. Часть 13. Контактная стыковая сварка сопротивлением и оплавлением

Категории ГОСТ Р ИСО 15614-13-2025 по ОКС:
Статус документа:
действует, введён в действие 01.05.2025
Название на английском языке:
Specification and qualification of welding procedures for metallic materials. Welding procedure test. Part 13. Upset (resistance butt) and flash welding
Дата актуализации информации по стандарту:
27.08.2025, в 18:31 (менее 3 месяцев назад)
Вид стандарта:
временно не известен
Дата начала действия ГОСТа:
2025-05-01
Число страниц:
20
Назначение ГОСТ Р ИСО 15614-13-2025:
не указано
Нормативные ссылки, связанные с ГОСТ Р ИСО 15614-13-2025:

Скачать ГОСТ Р ИСО 15614-13-2025 вы можете в следующих версиях:

В данный момент версий документа для скачивания не добавлено.

Мы стараемся пополнять базу документов еженедельно и из разных источников, в обозримом будущем версии для этого ГОСТа появятся.

Вы можете просмотреть online текст стандарта ГОСТ Р ИСО 15614-13-2025

Просмотреть текст ГОСТ Р ИСО 15614-13-2025

Текст стандарта

  • ГОСТ Р ИСО 15614-13-2025, страница 1 страница 1
  • ГОСТ Р ИСО 15614-13-2025, страница 2 страница 2
  • ГОСТ Р ИСО 15614-13-2025, страница 3 страница 3
  • ГОСТ Р ИСО 15614-13-2025, страница 4 страница 4
  • ГОСТ Р ИСО 15614-13-2025, страница 5 страница 5
  • ГОСТ Р ИСО 15614-13-2025, страница 6 страница 6
  • ГОСТ Р ИСО 15614-13-2025, страница 7 страница 7
  • ГОСТ Р ИСО 15614-13-2025, страница 8 страница 8
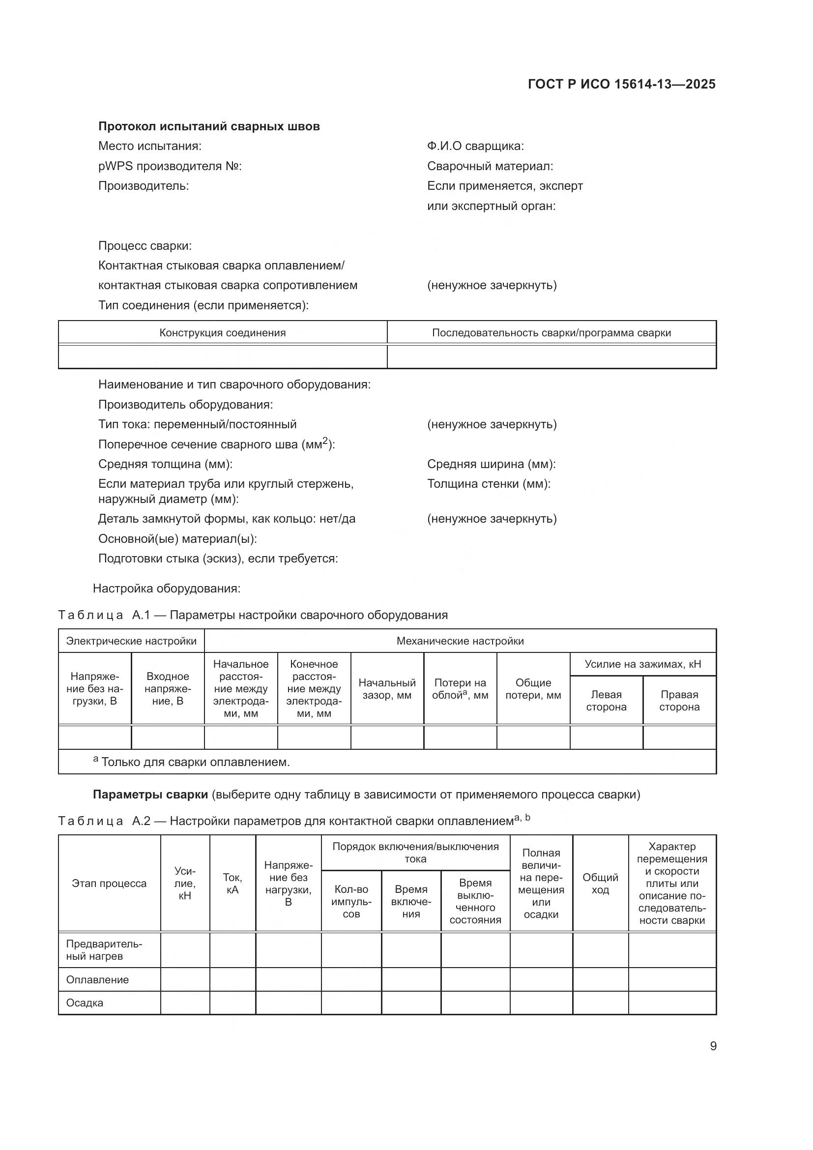
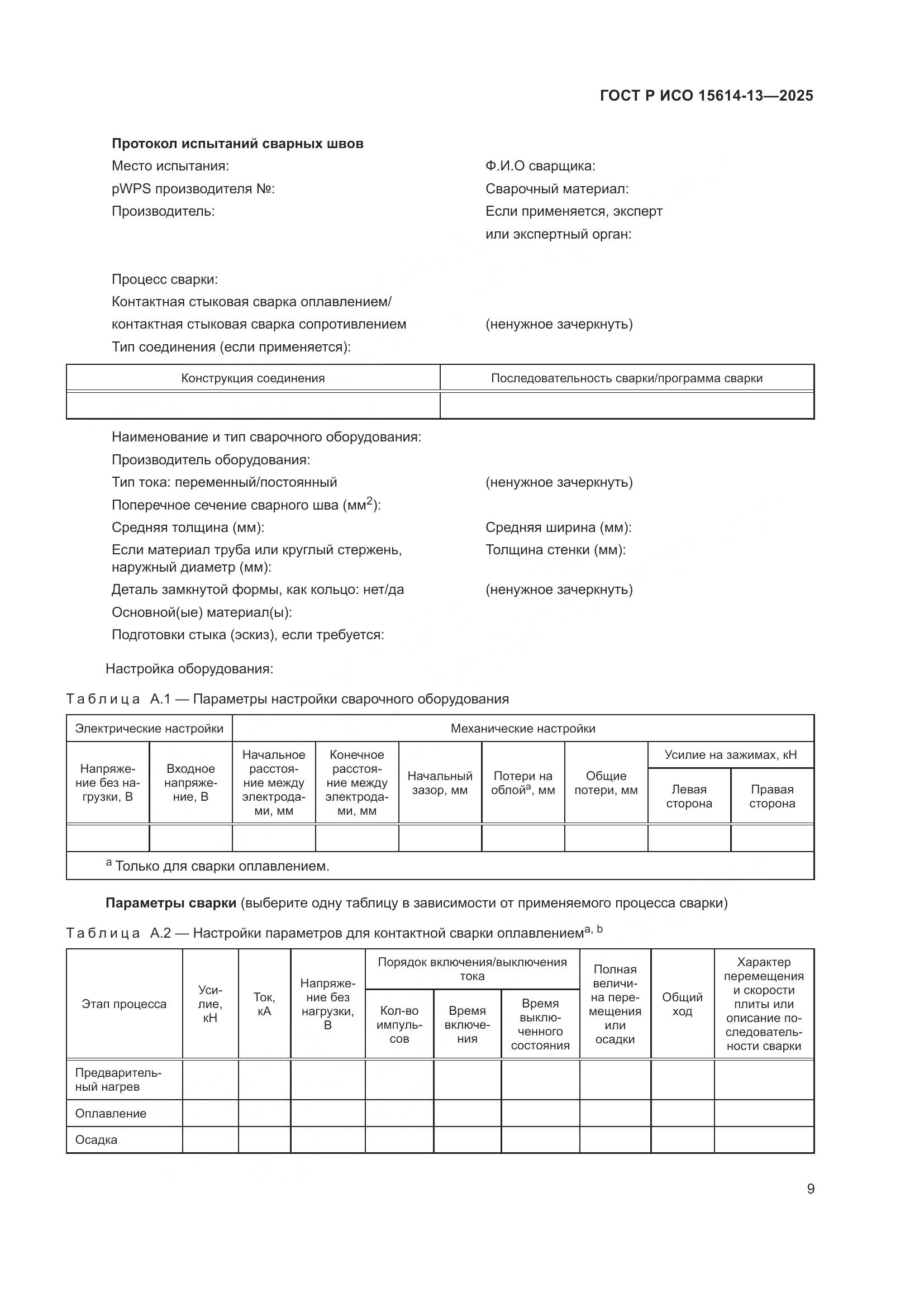
  • ГОСТ Р ИСО 15614-13-2025, страница 9 страница 9
  • ГОСТ Р ИСО 15614-13-2025, страница 10 страница 10
  • ГОСТ Р ИСО 15614-13-2025, страница 11 страница 11
  • ГОСТ Р ИСО 15614-13-2025, страница 12 страница 12
  • ГОСТ Р ИСО 15614-13-2025, страница 13 страница 13
  • ГОСТ Р ИСО 15614-13-2025, страница 14 страница 14
  • ГОСТ Р ИСО 15614-13-2025, страница 15 страница 15
  • ГОСТ Р ИСО 15614-13-2025, страница 16 страница 16
  • ГОСТ Р ИСО 15614-13-2025, страница 17 страница 17
  • ГОСТ Р ИСО 15614-13-2025, страница 18 страница 18
  • ГОСТ Р ИСО 15614-13-2025, страница 19 страница 19
  • ГОСТ Р ИСО 15614-13-2025, страница 20 страница 20